Última actualização :
27/04/2026
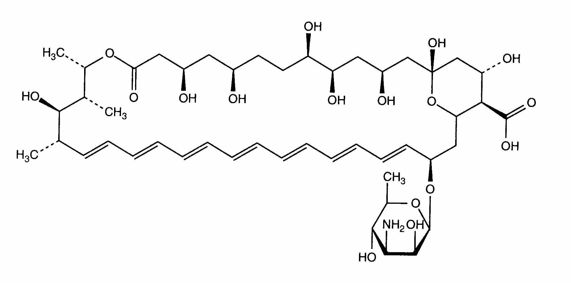
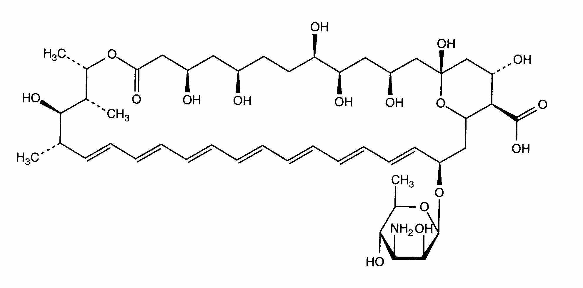
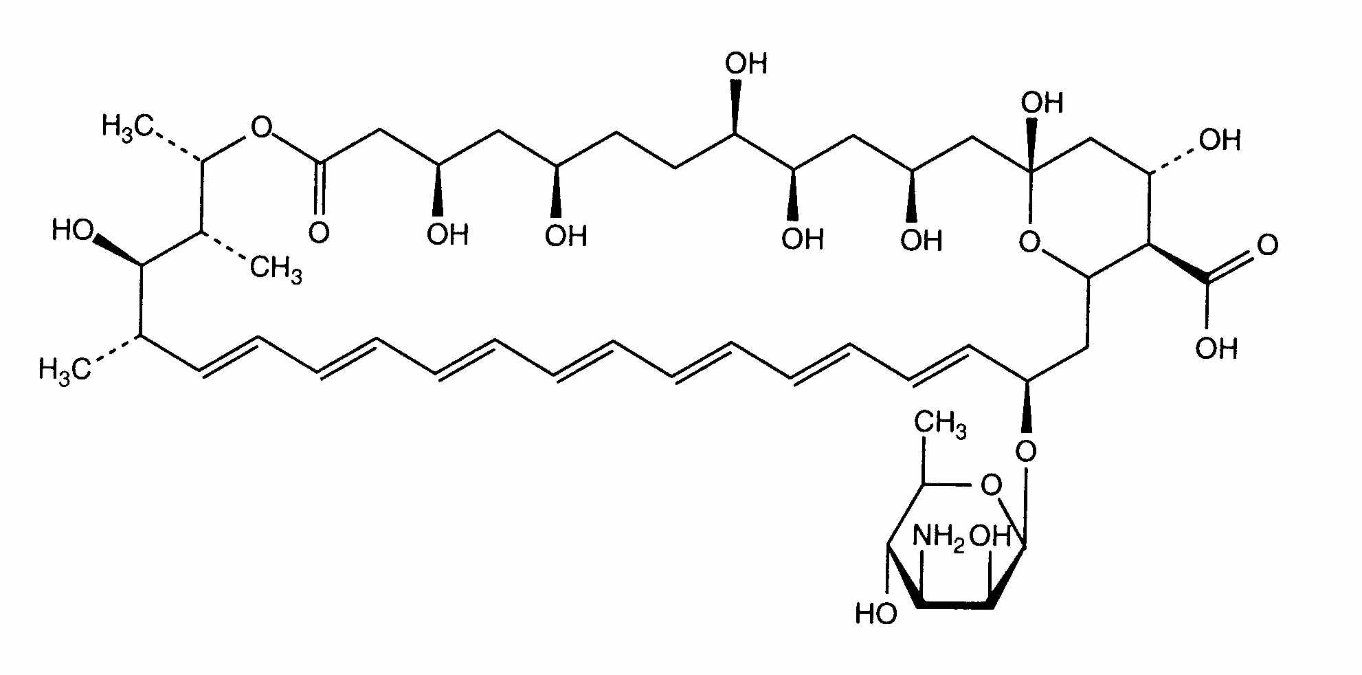
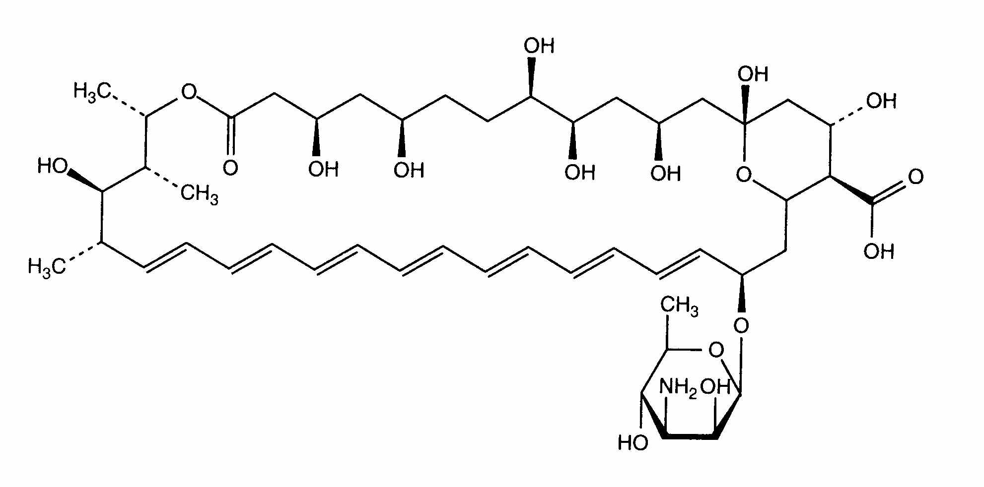
Antifúngico   Amphotericin B liposomale  
solução oftálmica
injetável
Estabilidade de preparações farmacêuticas Estabilidade em misturas Factores que afectam a sua estabilidade Compatibilidade Bibliografía pdf
Liposoma   estrutura química  

solução oftálmica
Estabilidade em misturas   solução oftálmica   Estabilidade em misturas : Amphotericin B liposomale     
Ausência de dados

  Mentions Légales