Poslední aktualizace :
27/04/2026
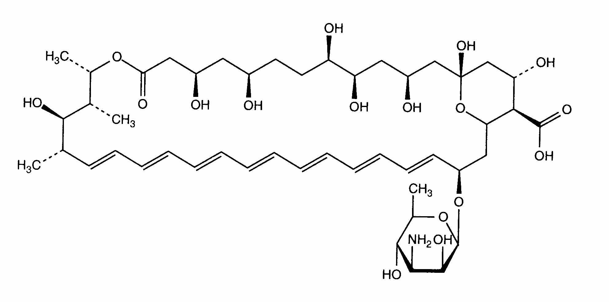
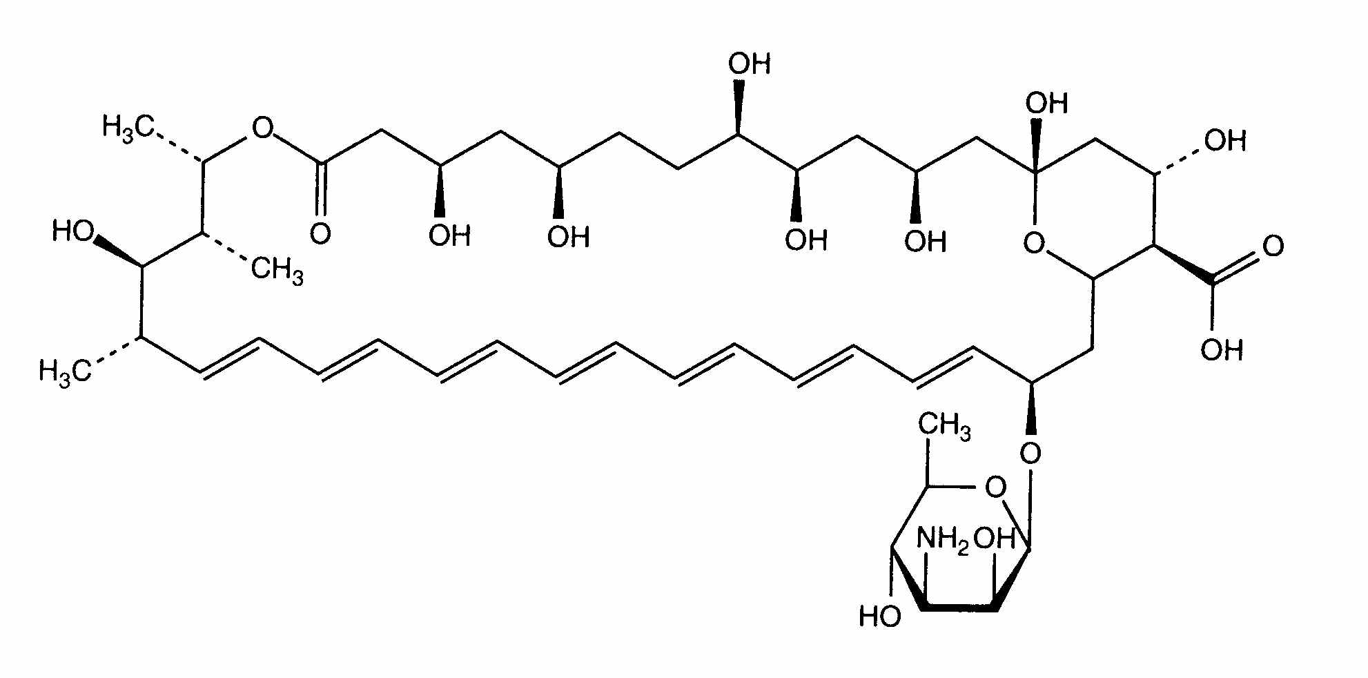
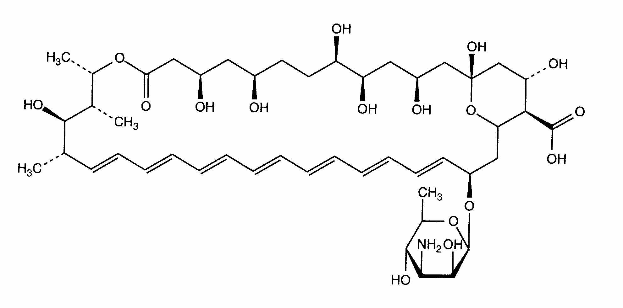
Protiplísňový přípravek   Amphotericin B liposomale  
Humbuk
injekce
Stabilita farmaceutických přípravků Stabilita směsí Faktory ovlivňující stabilitu Kompatibilita Odkazy pdf
Lipozom   Chemický vzorec  

Humbuk
Stabilita směsí   Humbuk   Stabilita směsí : Amphotericin B liposomale     
žádná data

  Mentions Légales