Last update :
27/04/2026
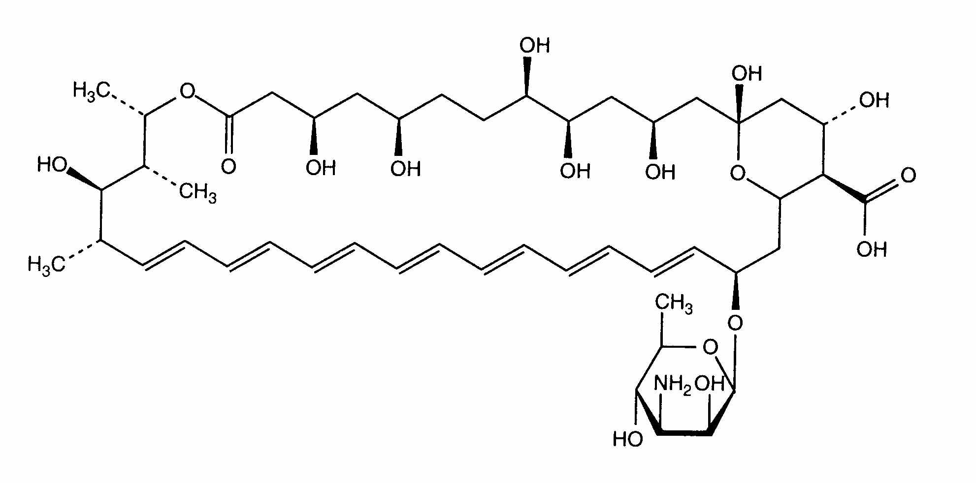
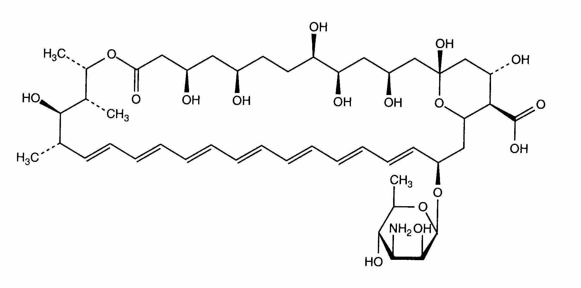
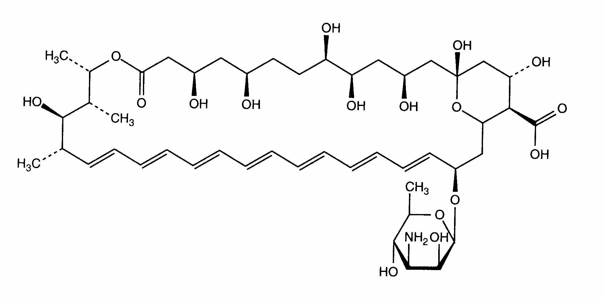
Antifungal   Amphotericin B liposomale  
Eye-drops
injection
Stability of pharmaceutical preparations Stability of mixtures Factors which affect stability Compatibility References pdf
Liposome   Chemical structure  

Eye-drops
Stability of mixtures   Eye-drops   Stability of mixtures : Amphotericin B liposomale     
No data

  Mentions Légales