Viimeisin päivitys :
27/04/2026
Sienilääkkeet   Amphotericin B liposomale  
Silmätipat
Injektioneste
Vakaus lääkevalmisteen Stabilius seoksissa Tekijät, jotka vaikuttavat stabiliuteen Yhteensopivuus Viitteet pdf
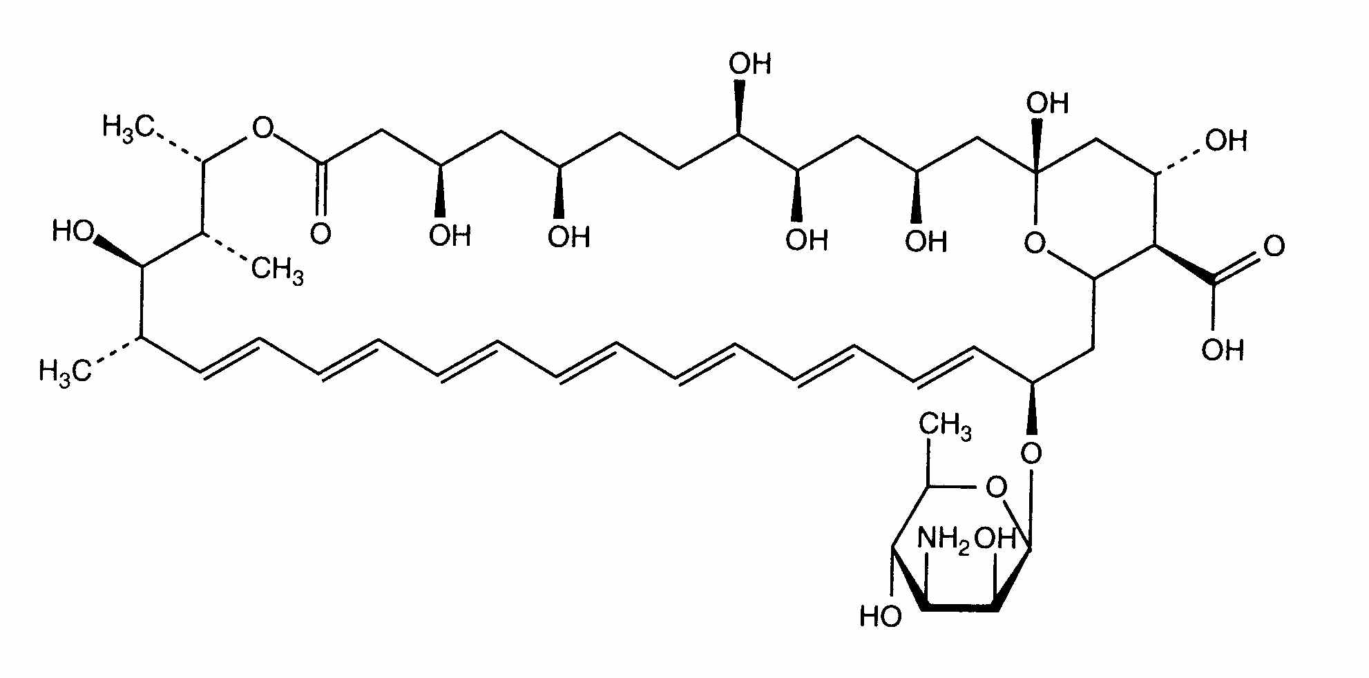
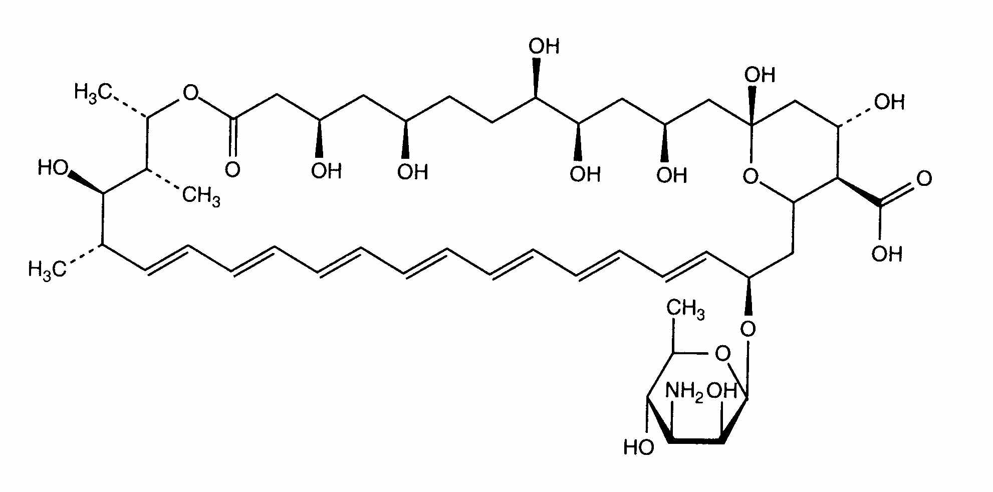
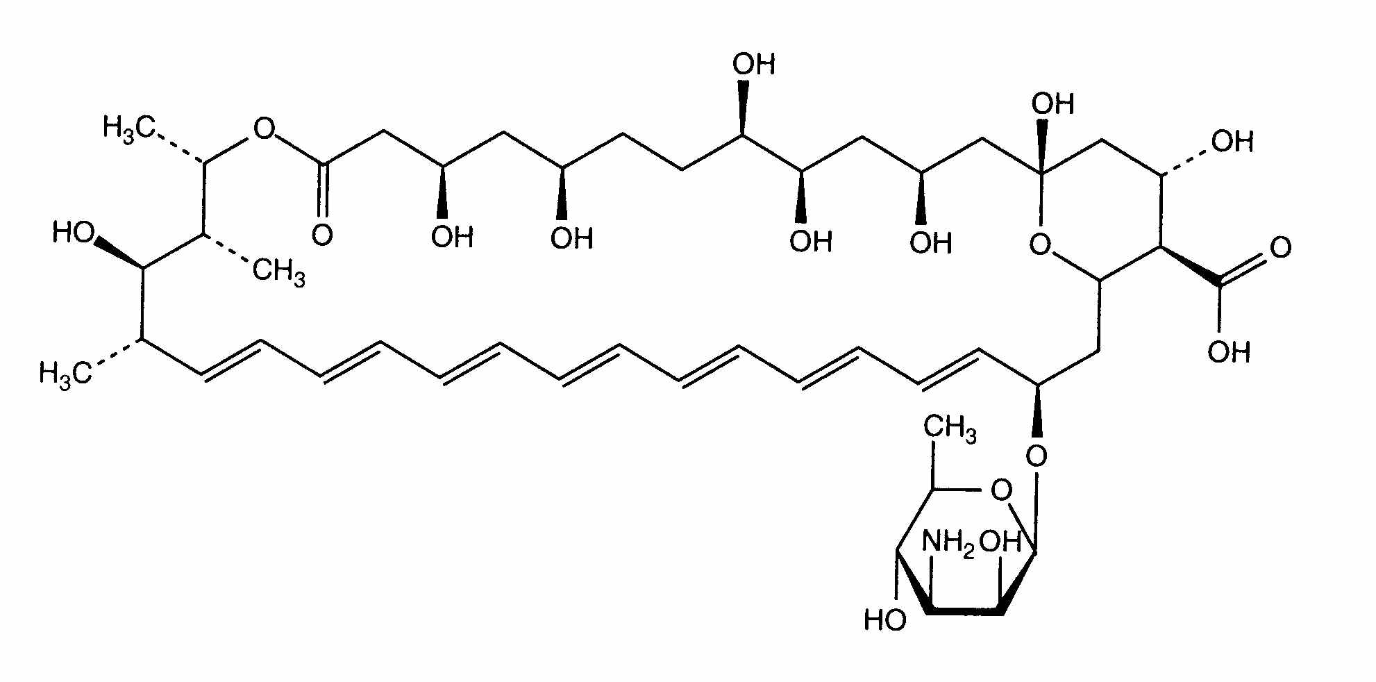
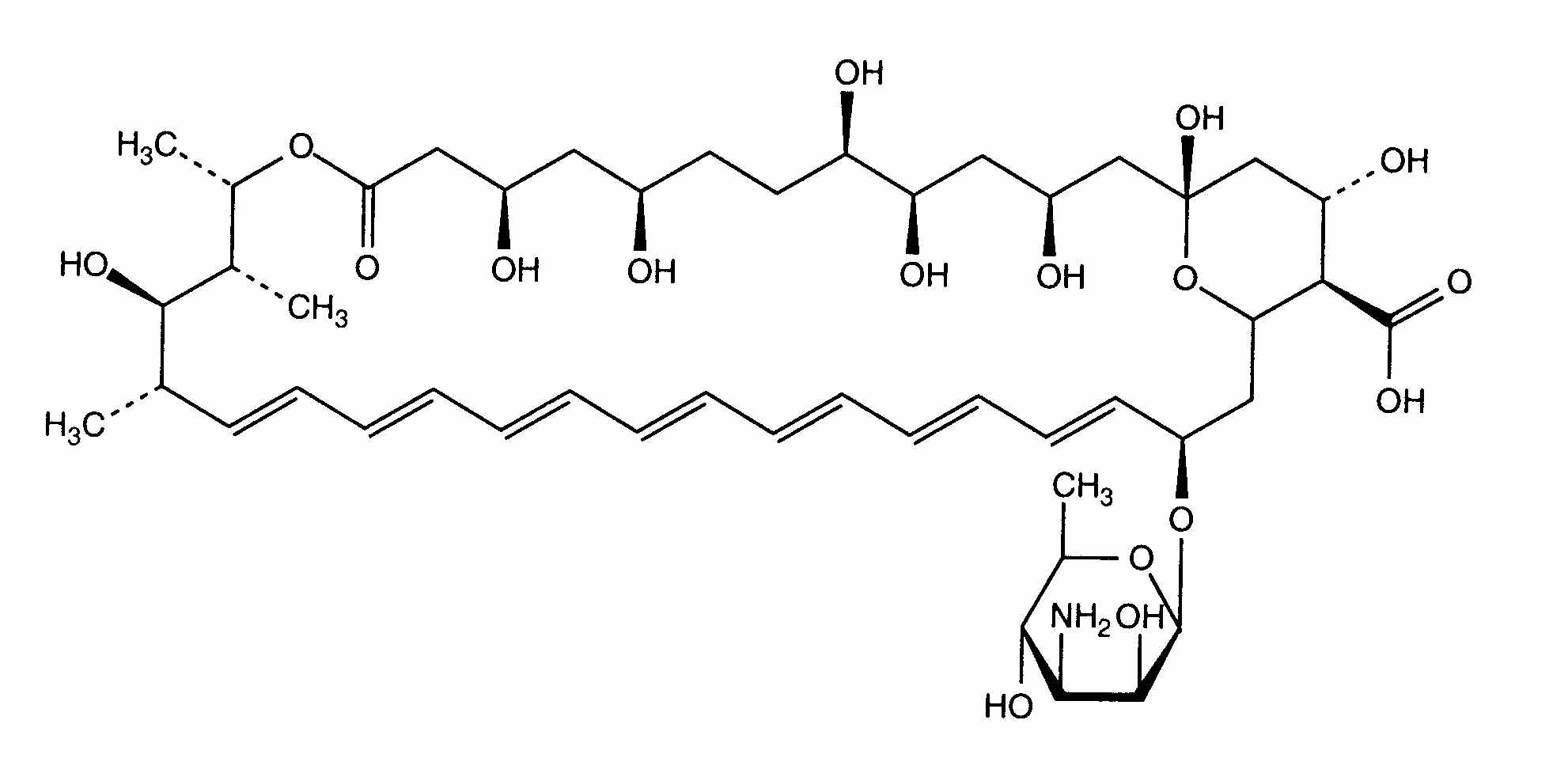
Liposomi   Kemiallinen rakenne  

Silmätipat
Stabilius seoksissa   Silmätipat   Stabilius seoksissa : Amphotericin B liposomale     
ei tietoa

  Mentions Légales