Laatste update :
27/04/2026
Antimycoticum   Amphotericin B liposomale  
Oogwater
injecteerbaar geneesmiddel
Stabiliteit van farmaceutische preparaten Stabiliteit in mengsels Factoren die de stabiliteit beïnvloeden Verenigbaarheden Literatuur pdf
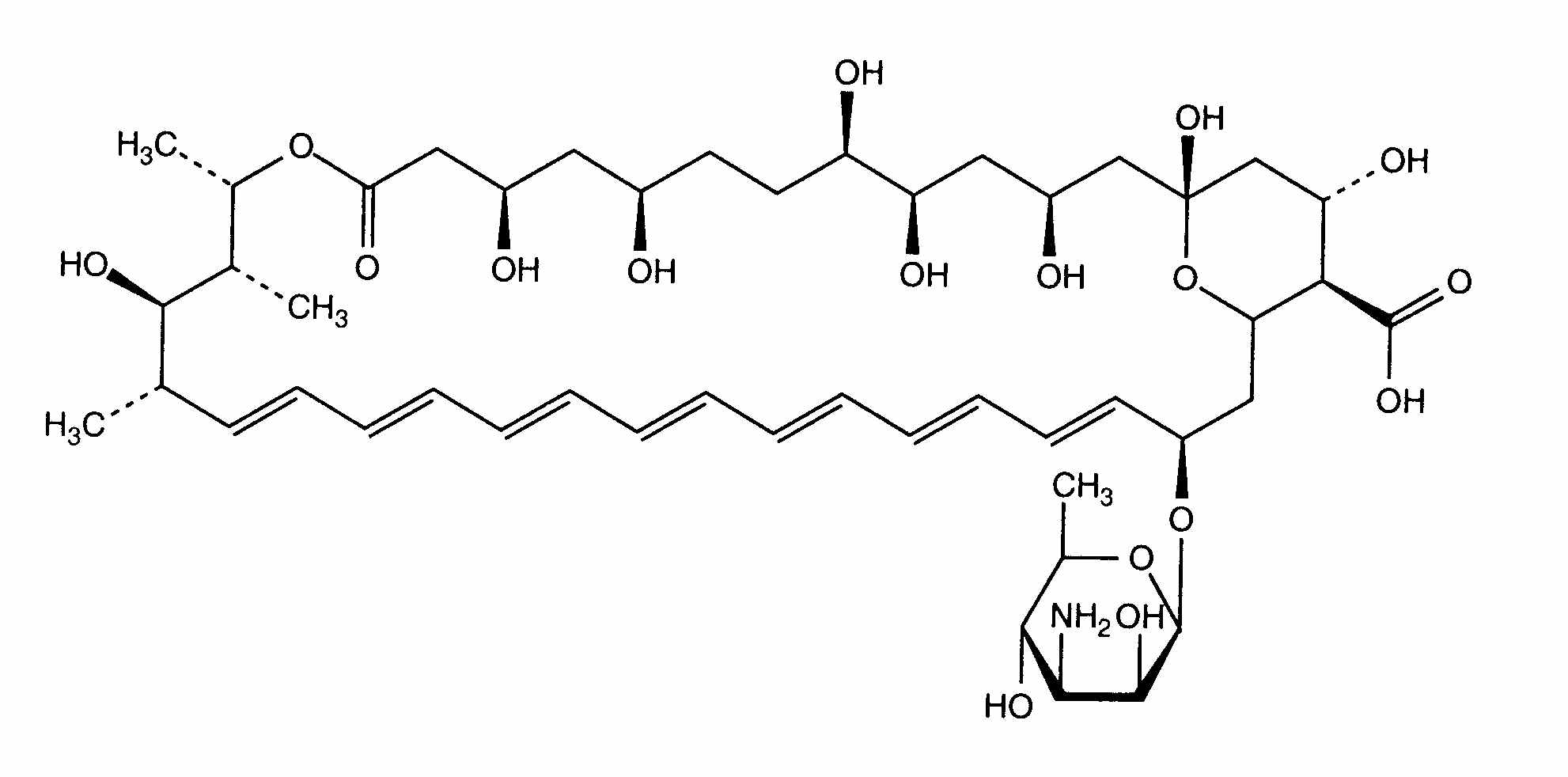
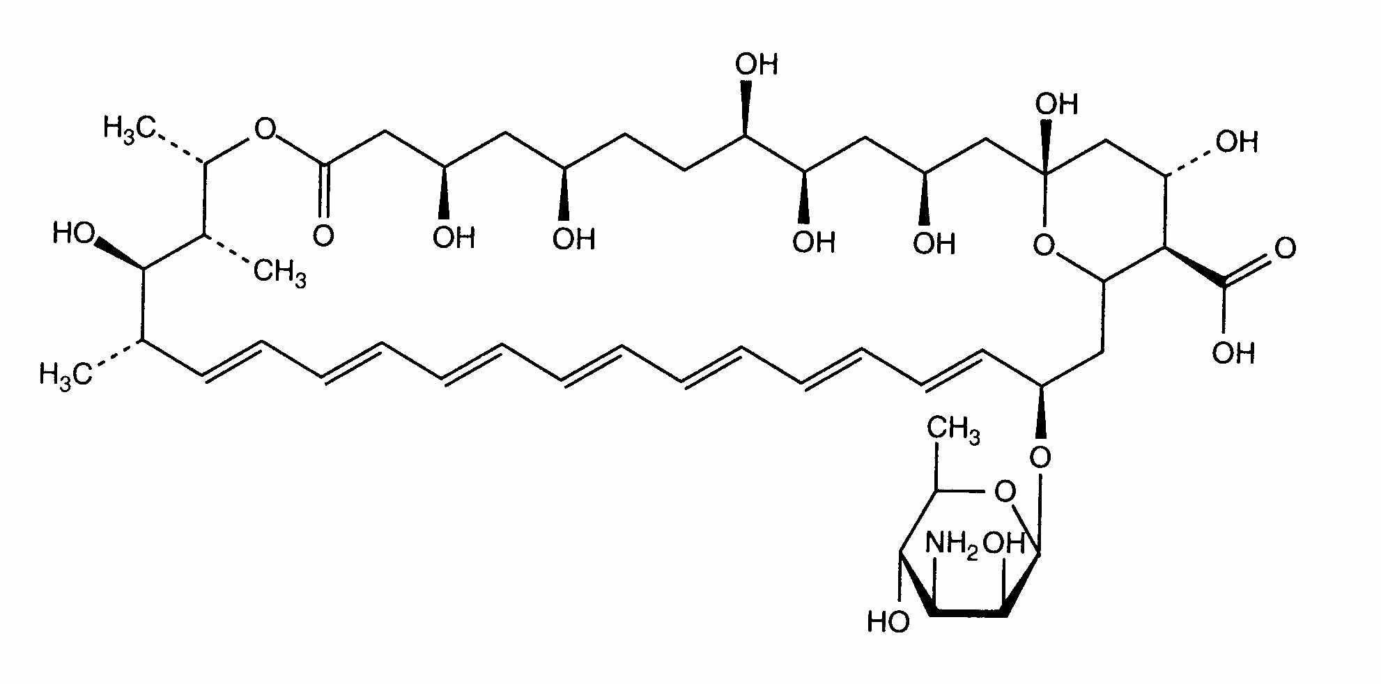
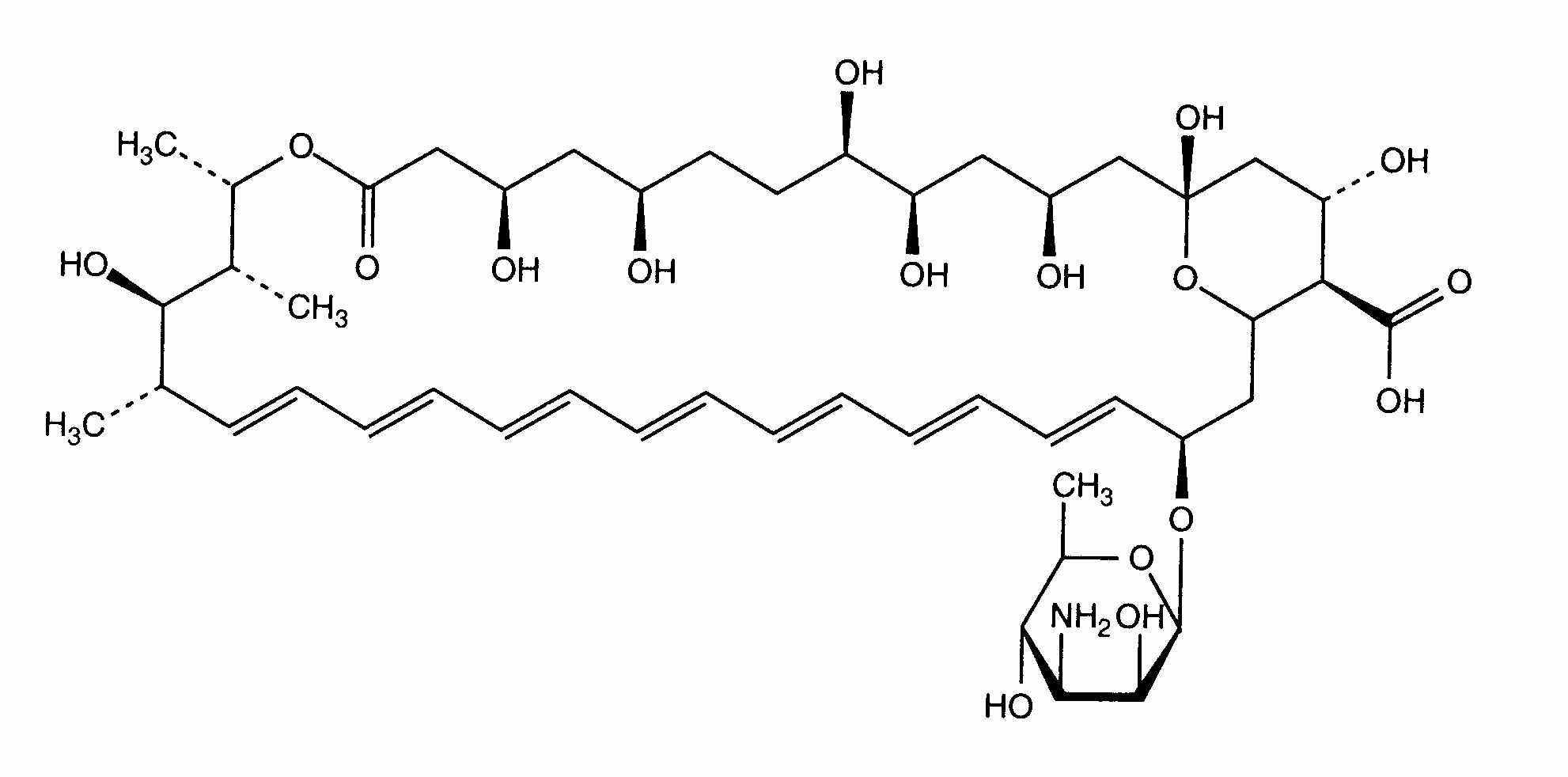
Liposomen   Molecuulstructuur  

Oogwater
Stabiliteit in mengsels   Oogwater   Stabiliteit in mengsels : Amphotericin B liposomale     
geen gegevens

  Mentions Légales