Последно актуализиране :
27/04/2026
Противогъбично средство   Amphotericin B liposomale  
Капки за очи
Инжекция/Инжекционен
Стабилност на лекарствени препарати Стабилност на смеси Фактори, повлияващи стабилността Съвместимост Библиография Pdf
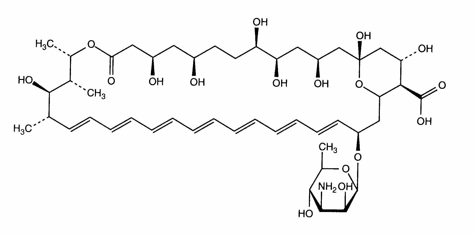
липозомен   Химична структура  

Капки за очи
Стабилност на смеси   Капки за очи   Стабилност на смеси : Amphotericin B liposomale     
Няма данни

  Mentions Légales