Zadnji put ažurirano :
27/04/2026
antifungicid   Amphotericin B liposomale  
kapi za oko
injekcija
Stabilnost farmaceutskih pripravaka Stabilnost mješavine Stabilizacijski faktor Kompatibilnosti Bibliografija pdf
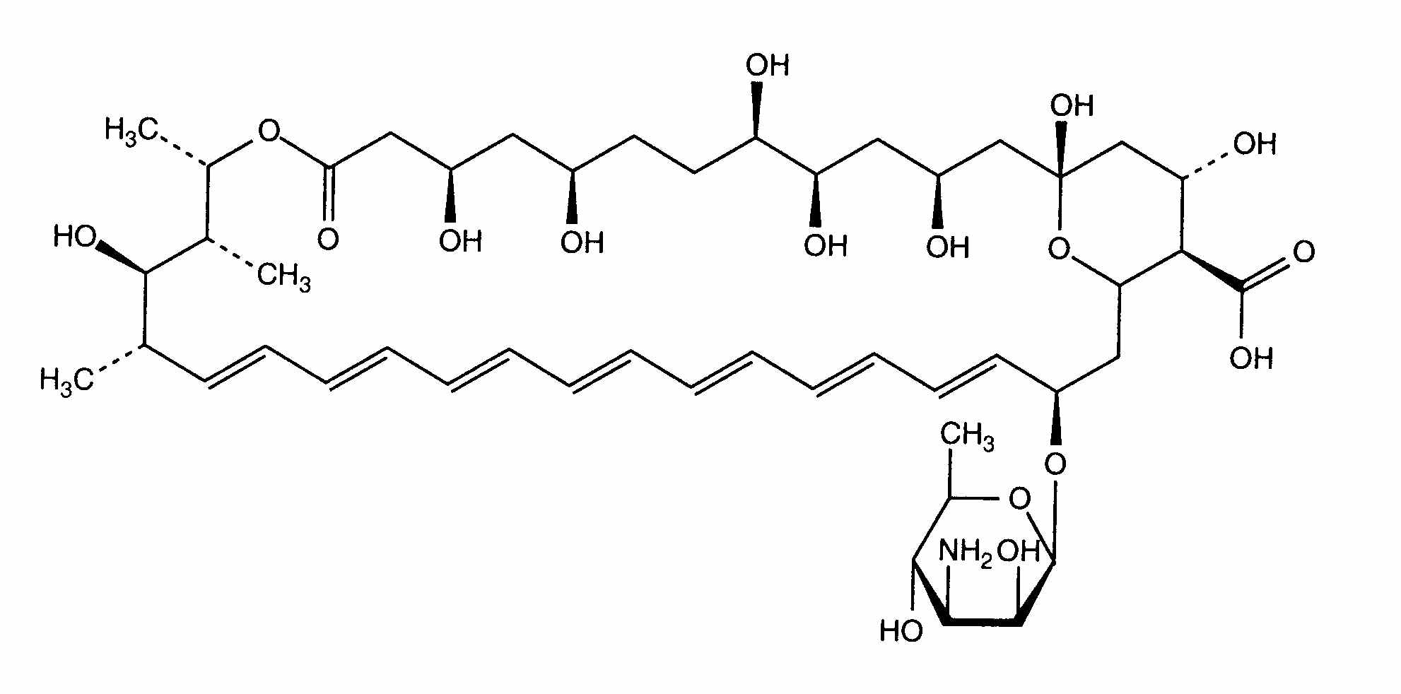
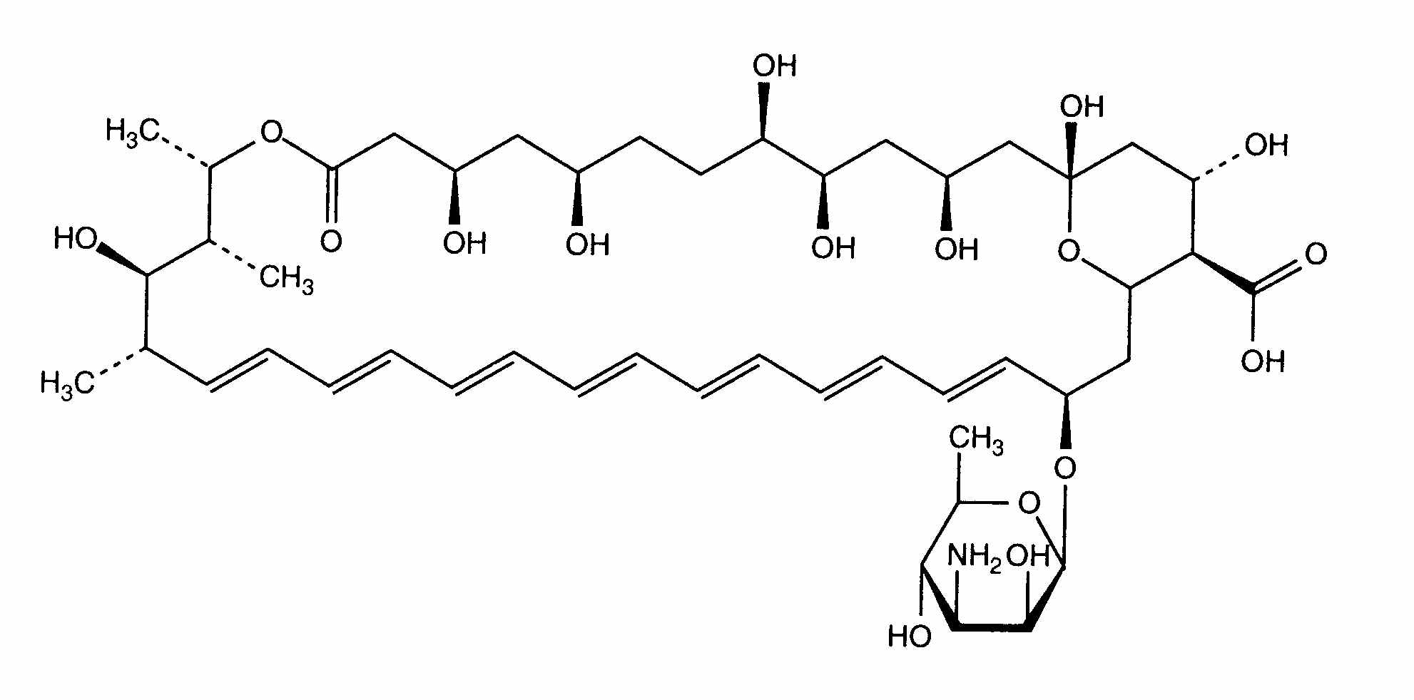
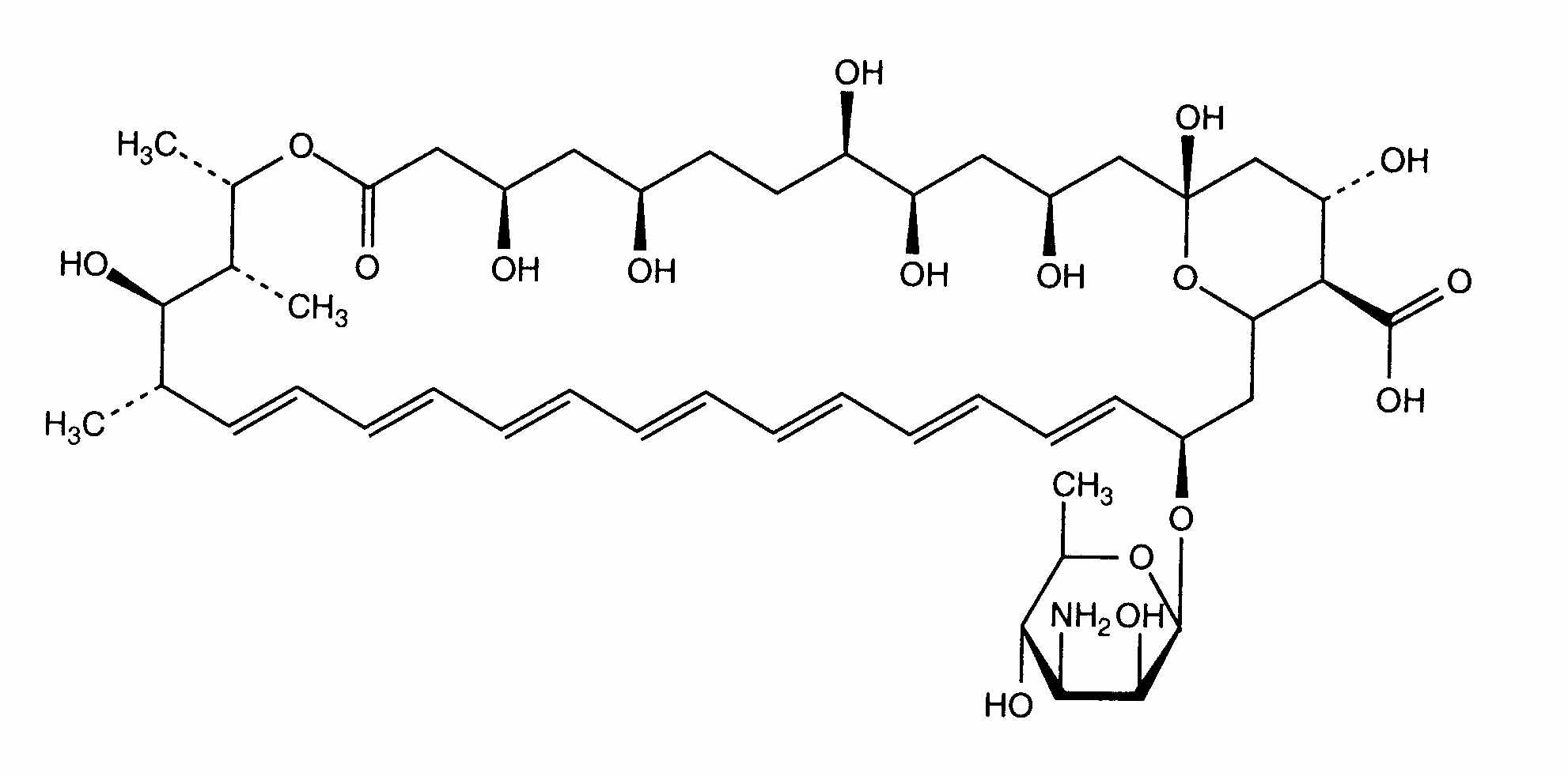
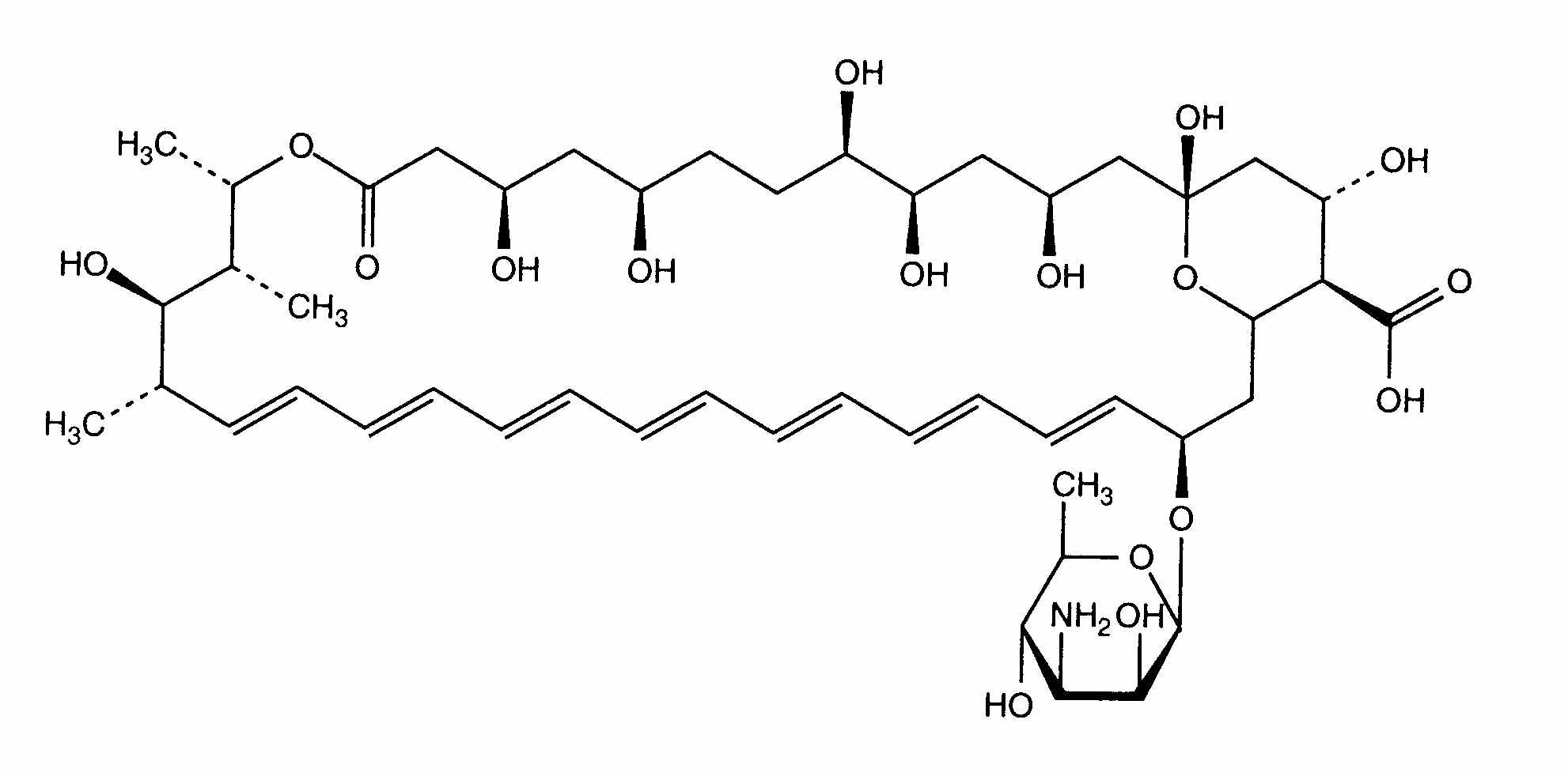
liposomi   Kemijska struktura  

kapi za oko
Stabilnost mješavine   kapi za oko   Stabilnost mješavine : Amphotericin B liposomale     
bez podataka

  Mentions Légales