Ultimele actualizari :
27/04/2026
Antifungic   Amphotericin B liposomale  
colir
Injectabil
Stabilitatea preparatelor farmaceutice Stabilitatea in amestec Factorii care influenteaza stabilitatea Compatibilitate Bibliografie pdf
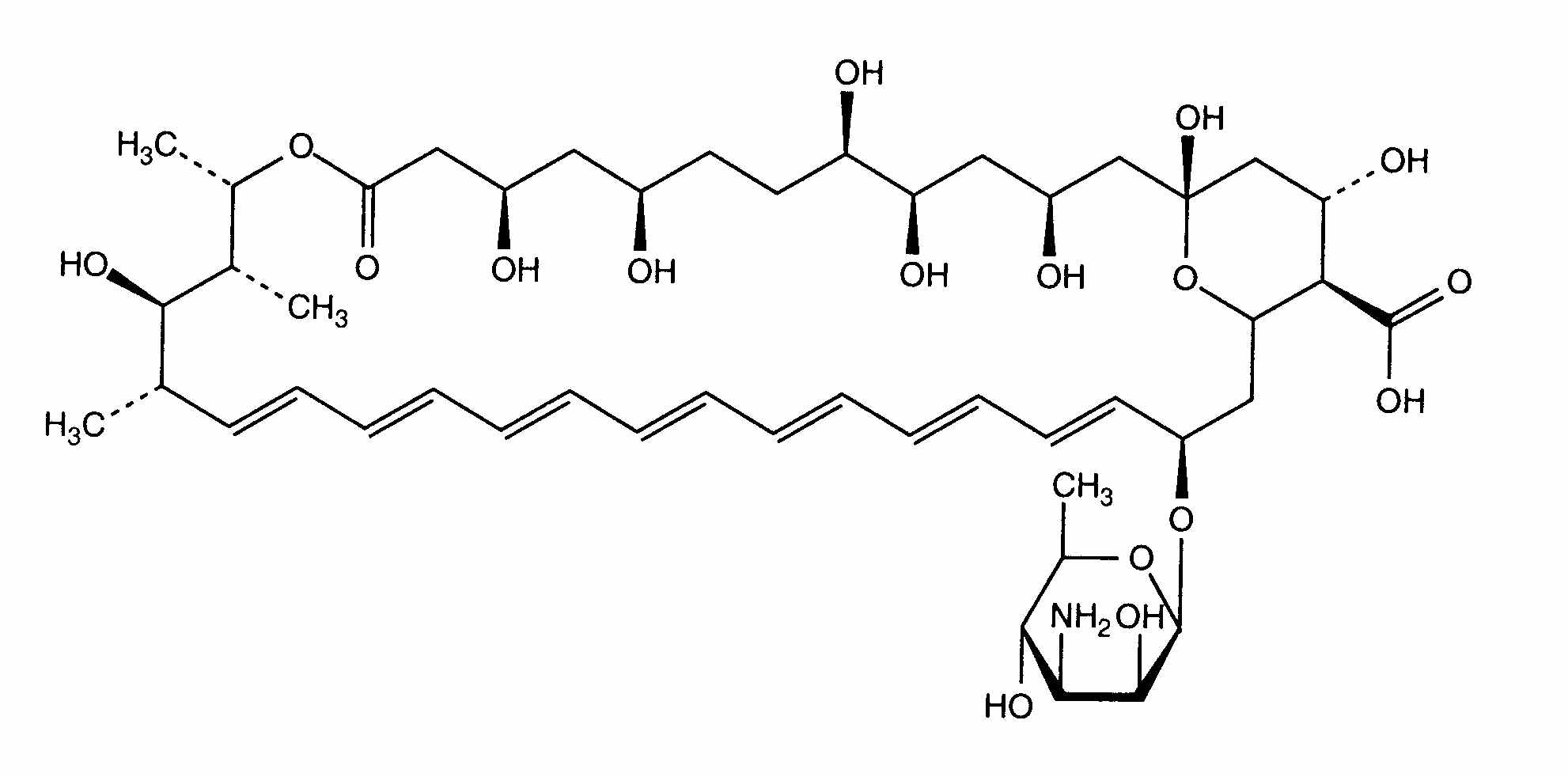
Lipozom   Formula chimica  

colir
Stabilitatea in amestec   colir   Stabilitatea in amestec : Amphotericin B liposomale     
Absenta de date

  Mentions Légales