zadnja posodobitev :
27/04/2026
Antimikotik   Amphotericin B  
Brizgalka
Aerosol Kapljice za oči Peroralna raztopina Ustna voda
Stabilnost raztopine Stabilnost mešanice Faktorji, ki vplivajo na stabilnost Kompatibilnost način aplikacije Viri pdf
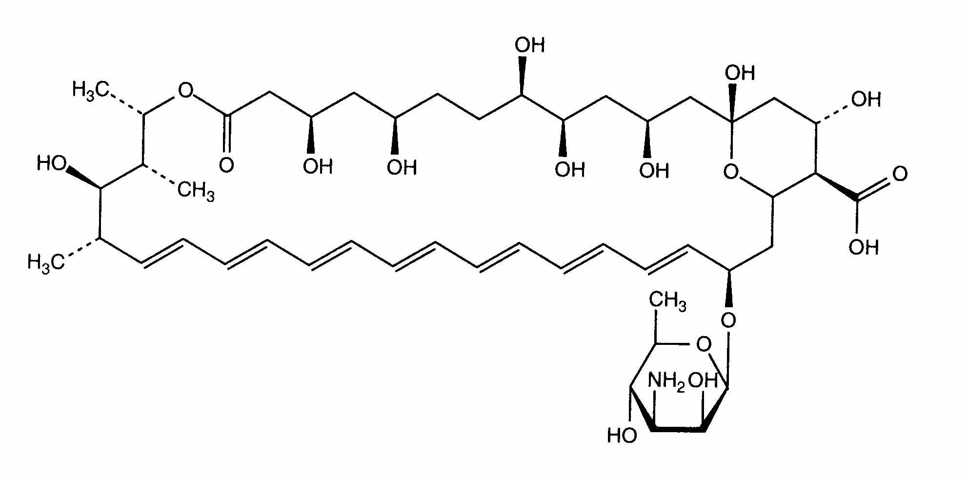
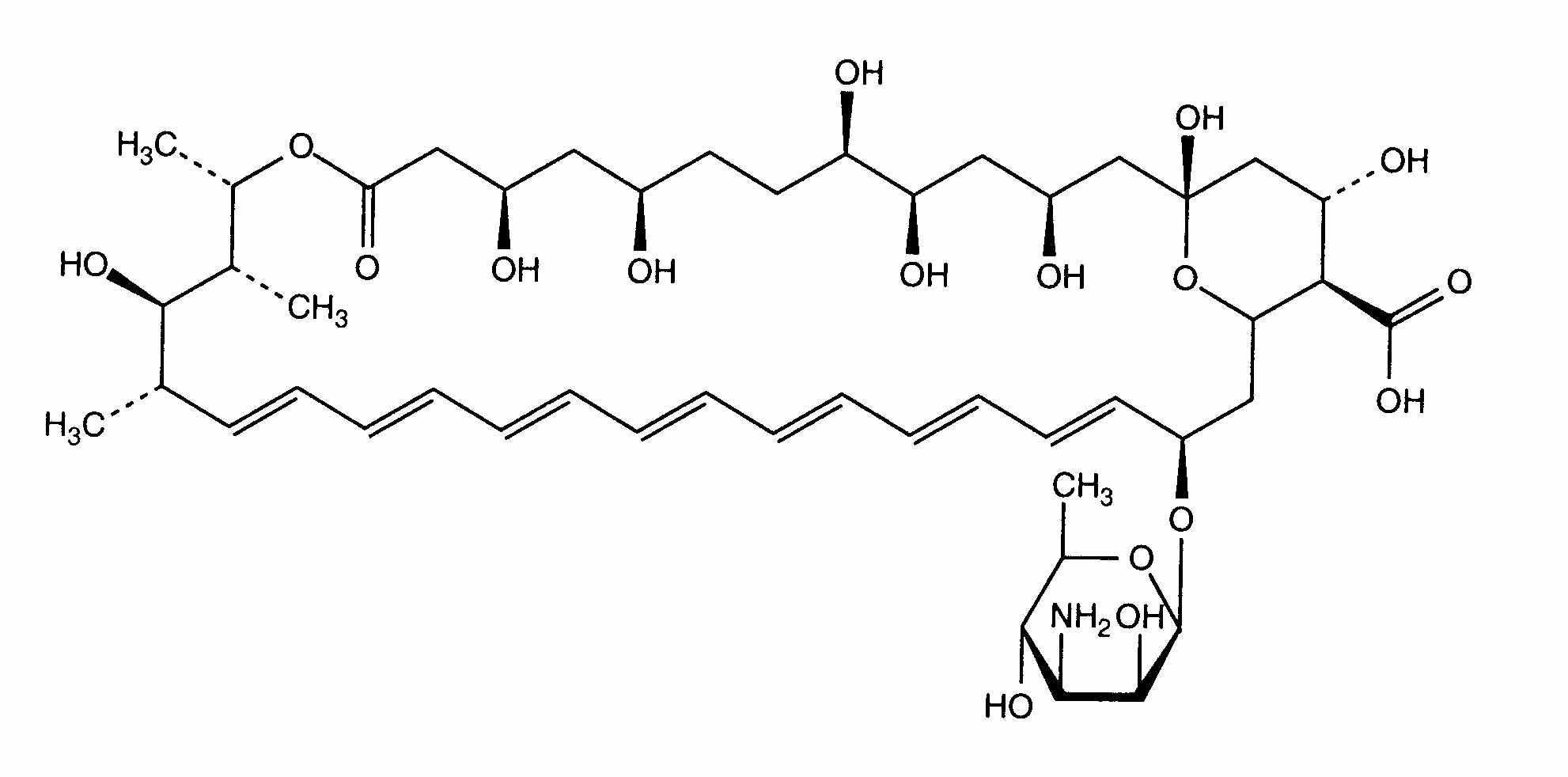
   Kemična formula  

Lastniško ime   Lastniško ime     

Sestava pomožnih snovi je med paralelami lahko različna

Fungizone Danska, Finska, Francija, Grčija, Indija, Iran, Irska, Italija, Kanada, Kolumbija, Madžarska, Malezija, Maroko, Nemčija, Nizozemska, nova Zelandija, Portugalska, Švedska, Švica, Tunizija, Turčija, Velika Britanija, Venezuela, Združene države Amerike
Stabilnost raztopine   Brizgalka   Stabilnost raztopine : Amphotericin B     
Vsebnik Topilo Koncentracija Temperatura Shranjevanje Trajanje stabilnosti Viri
Polivinil klorid Glukoza 5% 0,05 & 0,5 mg/ml 23°C-25°C Z ali brez svetlobe
24 čas
12
 Stopnja dokaza D

Polivinil klorid Glukoza 5% 0,1 mg/ml 15°C-25°C Zaščiteno pred svetlobo
24 čas
435
 Stopnja dokaza D

Polivinil klorid Glukoza 5% 0,1 mg/ml 4°C Zaščiteno pred svetlobo
15 Dan
1907
 Stopnja dokaza D

Polivinil klorid Glukoza 5% 0,1 & 0,25 mg/ml 4°C Zaščiteno pred svetlobo
35 Dan
436
 Stopnja dokaza A+

Polivinil klorid Glukoza 5% 0,2 & 0,5 mg/ml 25°C Svetloba
120 čas
283
 Stopnja dokaza C+

Polivinil klorid Glukoza 5% 0,2 & 0,5 & 1 mg/ml 4°C Zaščiteno pred svetlobo
120 čas
283
 Stopnja dokaza C+

Polivinil klorid Glucoza 10% 0,1 mg/ml 15°C-25°C Zaščiteno pred svetlobo
24 čas
435
 Stopnja dokaza D

Polivinil klorid Glukoza 15% 0,1 mg/ml 15°C-25°C Zaščiteno pred svetlobo
24 čas
435
 Stopnja dokaza D

Polivinil klorid Glukoza 20% 0,1 mg/ml 15°C-25°C Zaščiteno pred svetlobo
24 čas
435
 Stopnja dokaza D

Poliolefin Glukoza 5% 0,47 >> 0,75 mg/ml 25°C Svetloba
24 čas
497
 Stopnja dokaza C+

Poliolefin Glukoza 5% 0,92 >> 1,4 mg/ml 25°C Nedoločeno
36 čas
439
 Stopnja dokaza A+

Poliolefin Glukoza 5% 0,92 >> 1,4 mg/ml 6°C Zaščiteno pred svetlobo
36 čas
439
 Stopnja dokaza A+

Poliizoprenski elastomer Glukoza 5% 0,2 & 0,5 mg/ml 4°C Zaščiteno pred svetlobo
10 Dan
604
Podatki stabilnosti proizvajalca


  Mentions Légales