Zadnji put ažurirano :
27/04/2026
antifungicid   Amphotericin B  
injekcija
aerosol kapi za oko oralna otopina  otopina za ispiranje usne šupljine
Stabilizacija rješenja Stabilnost mješavine Stabilizacijski faktor Kompatibilnosti način davanja lijeka Bibliografija pdf
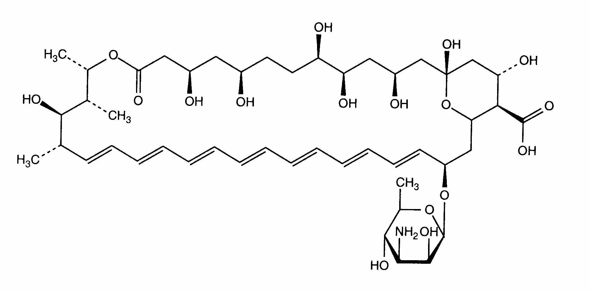
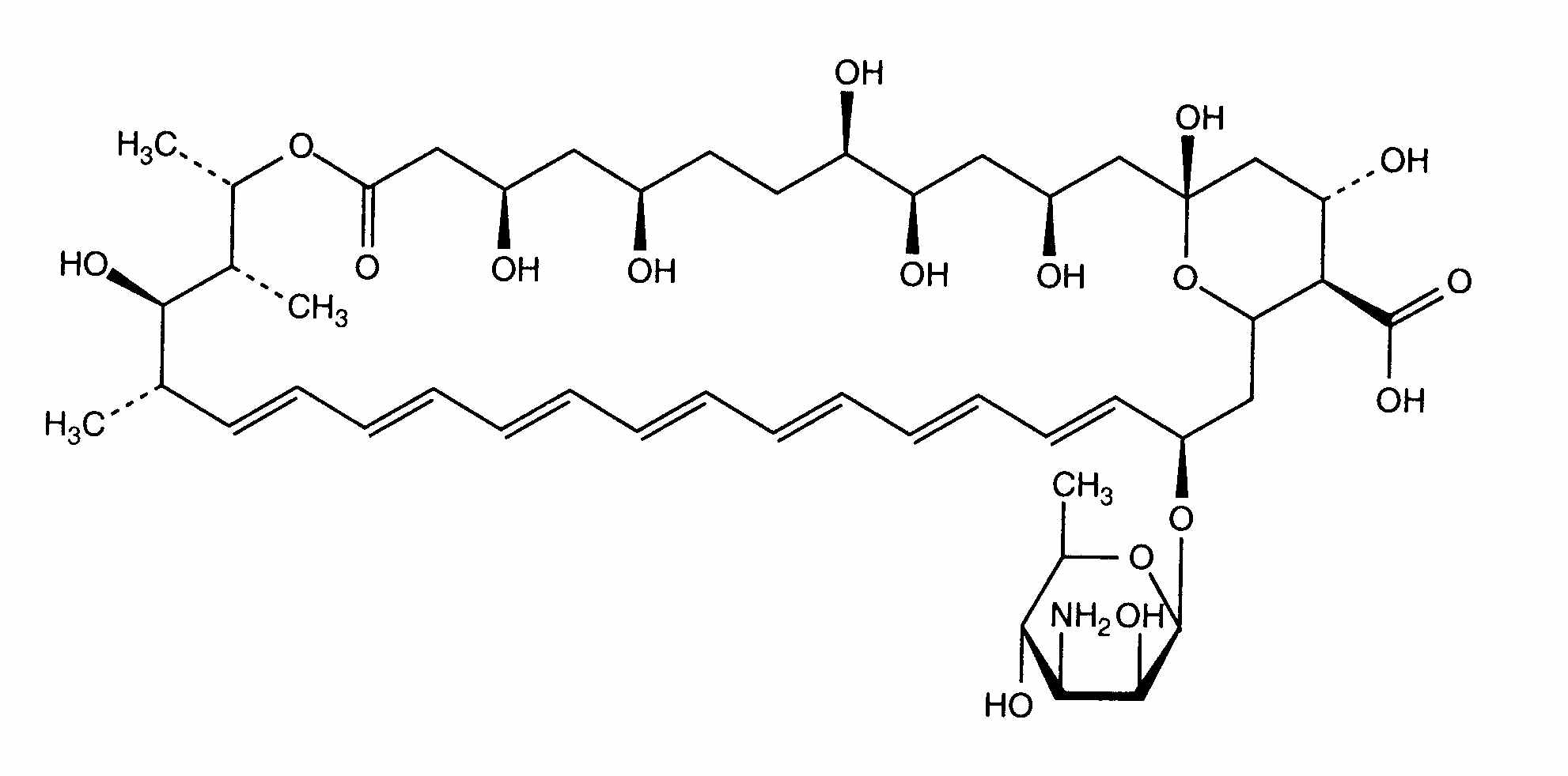
   Kemijska struktura  

Nekomercijalni   Nekomercijalni     

Zaštićeni nazivi su indikativni i sastav ekscipijensa može biti različit ovisno o državi i laboratorijima

Fungizone Indija, Danska, Finska, Francuska, Grčka, Iran, Irska, Italija, Kanada, Kolumbija, Madžarska, Malezija, Maroko, Nizozemska, Njemačka, novi Zeland, Portugal, S A D, Švedska, Švicarska, Tunis, Turska, Velika Britanija, Venecuela
Stabilizacija rješenja   injekcija   Stabilizacija rješenja : Amphotericin B     
Kontejner sredstvo za rastapanje koncentracija temperatura Konzerviranje Trajanje stabilnosti Bibliografija
polivinilklorid glukoza 5% 0,05 & 0,5 mg/ml 23°C-25°C Sa i bez svjetlosti
24 sat
12
Razina dokaza D

polivinilklorid glukoza 5% 0,1 mg/ml 15°C-25°C Zaštićeno od svjetlosti
24 sat
435
Razina dokaza D

polivinilklorid glukoza 5% 0,1 mg/ml 4°C Zaštićeno od svjetlosti
15 dan
1907
Razina dokaza D

polivinilklorid glukoza 5% 0,1 & 0,25 mg/ml 4°C Zaštićeno od svjetlosti
35 dan
436
Razina dokaza A+

polivinilklorid glukoza 5% 0,2 & 0,5 mg/ml 25°C svjetlost
120 sat
283
Razina dokaza C+

polivinilklorid glukoza 5% 0,2 & 0,5 & 1 mg/ml 4°C Zaštićeno od svjetlosti
120 sat
283
Razina dokaza C+

polivinilklorid glukoza 10% 0,1 mg/ml 15°C-25°C Zaštićeno od svjetlosti
24 sat
435
Razina dokaza D

polivinilklorid glukoza 15% 0,1 mg/ml 15°C-25°C Zaštićeno od svjetlosti
24 sat
435
Razina dokaza D

polivinilklorid glukoza 20% 0,1 mg/ml 15°C-25°C Zaštićeno od svjetlosti
24 sat
435
Razina dokaza D

poliolefin glukoza 5% 0,47 >> 0,75 mg/ml 25°C svjetlost
24 sat
497
Razina dokaza C+

poliolefin glukoza 5% 0,92 >> 1,4 mg/ml 25°C nespecifičan
36 sat
439
Razina dokaza A+

poliolefin glukoza 5% 0,92 >> 1,4 mg/ml 6°C Zaštićeno od svjetlosti
36 sat
439
Razina dokaza A+

Poliizoprenski elastomer glukoza 5% 0,2 & 0,5 mg/ml 4°C Zaštićeno od svjetlosti
10 dan
604
Podaci proizvođača o stabilnosti


  Mentions Légales