Letztes “update” :
27/04/2026
Antifungoid   Amphotericin B  
Injektion
Aerosol Augentropfen Lösung zum Einnehmen Mundspüllösung
Stabilität der Lösung Gemengestabilität Stabilitätbeeinflussende Faktoren Kompatibilitäten Applikationsart Literaturverzeichnis pdf
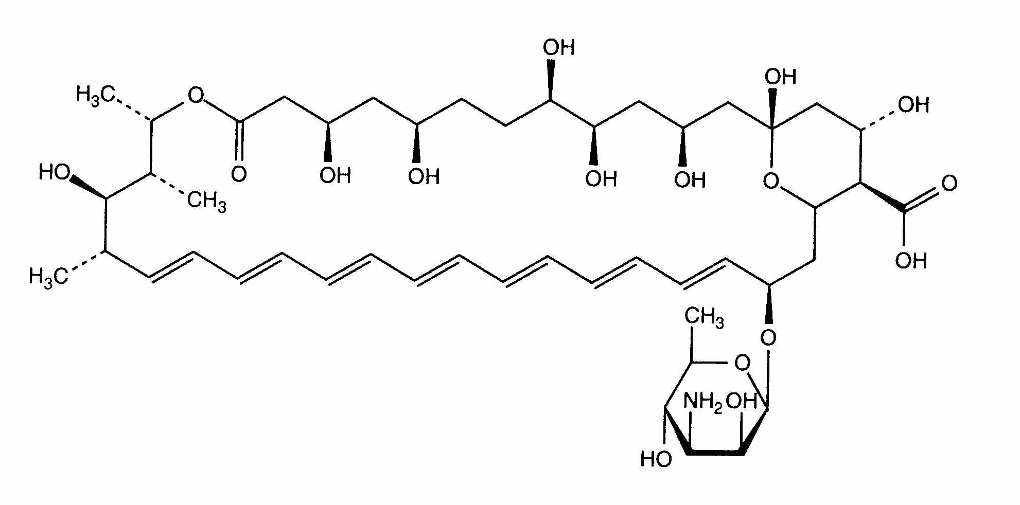
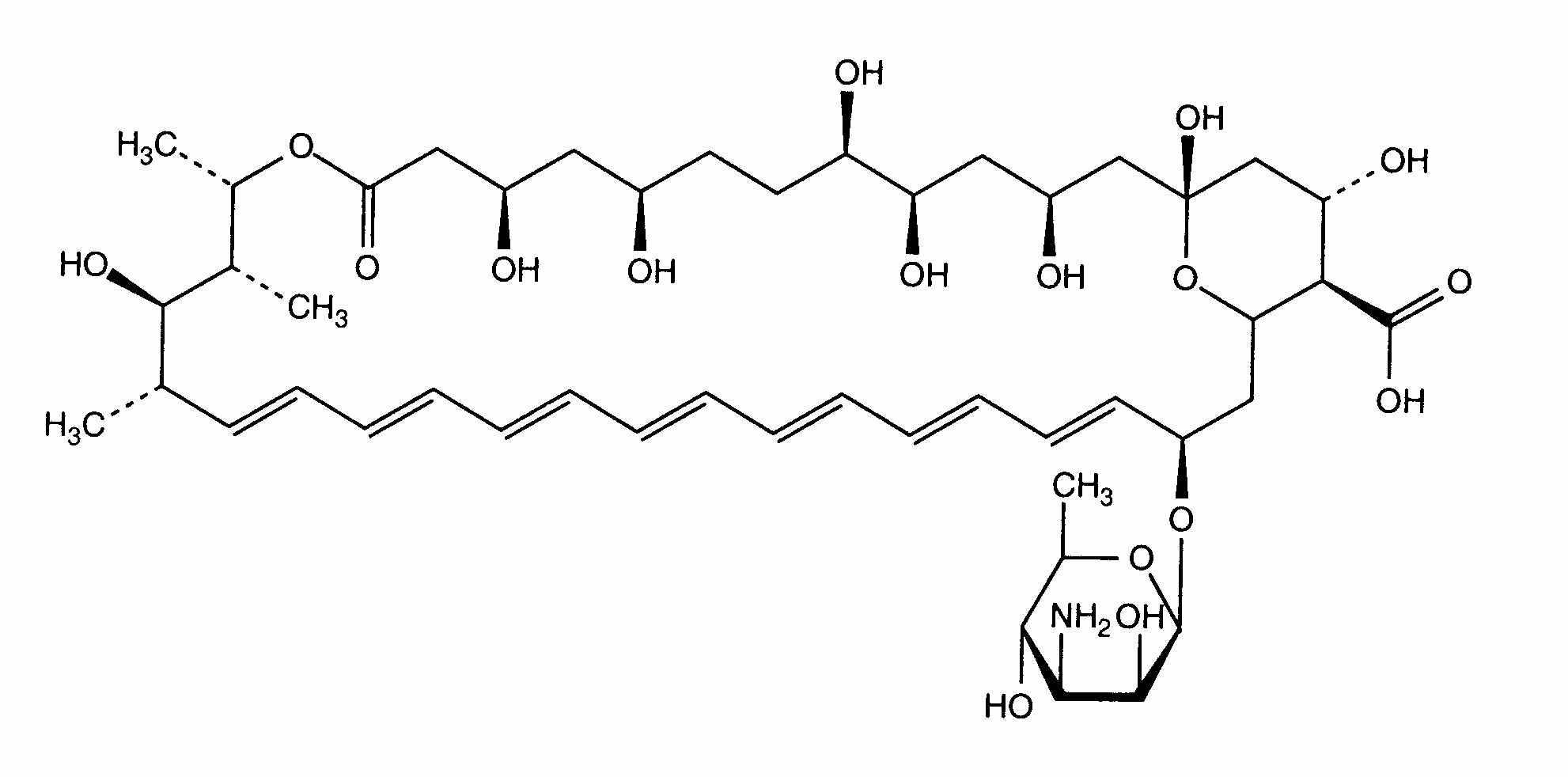
   Chemische Struktur  

Handelsmarke   Handelsmarke     

Handelsnamen sind als beispielhaft anzusehen. Sonstige Bestandteile können je nach Hersteller oder Land verschieden sein

Fungizone Dänemark, Deutschland, Finnland, Frankreich, Griechenland, Großbritannien, Indien, Iran, Irland, Italien, Kanada, Kolumbien, Malaysia, Marokko, Neuseeland, Niederlande, Portugal, Schweden, Schweiz, Tunesien, Türkei, Ungarn, Venezuela, Vereinigte Staaten von Amerika
Stabilität der Lösung   Injektion   Stabilität der Lösung : Amphotericin B     
Behälter Lösungsmittel Konzentration Temperatur Konservierung Dauer der Stabilität Literaturverzeichnis
Polyvinylchlorid 5% Glucose 0,05 & 0,5 mg/ml 23°C-25°C Mit oder ohne Licht
24 Stunde
12
Evidenzgrad D

Polyvinylchlorid 5% Glucose 0,1 mg/ml 15°C-25°C Ohne Licht
24 Stunde
435
Evidenzgrad D

Polyvinylchlorid 5% Glucose 0,1 mg/ml 4°C Ohne Licht
15 Tag
1907
Evidenzgrad D

Polyvinylchlorid 5% Glucose 0,1 & 0,25 mg/ml 4°C Ohne Licht
35 Tag
436
Evidenzgrad A+

Polyvinylchlorid 5% Glucose 0,2 & 0,5 mg/ml 25°C Licht
120 Stunde
283
Evidenzgrad C+

Polyvinylchlorid 5% Glucose 0,2 & 0,5 & 1 mg/ml 4°C Ohne Licht
120 Stunde
283
Evidenzgrad C+

Polyvinylchlorid 10% Glucose 0,1 mg/ml 15°C-25°C Ohne Licht
24 Stunde
435
Evidenzgrad D

Polyvinylchlorid 15% Glucose 0,1 mg/ml 15°C-25°C Ohne Licht
24 Stunde
435
Evidenzgrad D

Polyvinylchlorid 20% Glucose 0,1 mg/ml 15°C-25°C Ohne Licht
24 Stunde
435
Evidenzgrad D

Polyolefin 5% Glucose 0,47 >> 0,75 mg/ml 25°C Licht
24 Stunde
497
Evidenzgrad C+

Polyolefin 5% Glucose 0,92 >> 1,4 mg/ml 25°C Nicht genau angegeben
36 Stunde
439
Evidenzgrad A+

Polyolefin 5% Glucose 0,92 >> 1,4 mg/ml 6°C Ohne Licht
36 Stunde
439
Evidenzgrad A+

Polyisoprenelastomer 5% Glucose 0,2 & 0,5 mg/ml 4°C Ohne Licht
10 Tag
604
Stabilitätsdaten des Herstellers


  Mentions Légales