Последно актуализиране :
27/04/2026
Противогъбично средство   Amphotericin B  
Инжекция/Инжекционен
Аерозол Капки за очи Орален разтвор Разтвор за уста
Стабилност на разтвори Стабилност на смеси Фактори, повлияващи стабилността Съвместимост Път на въвеждане Библиография Pdf
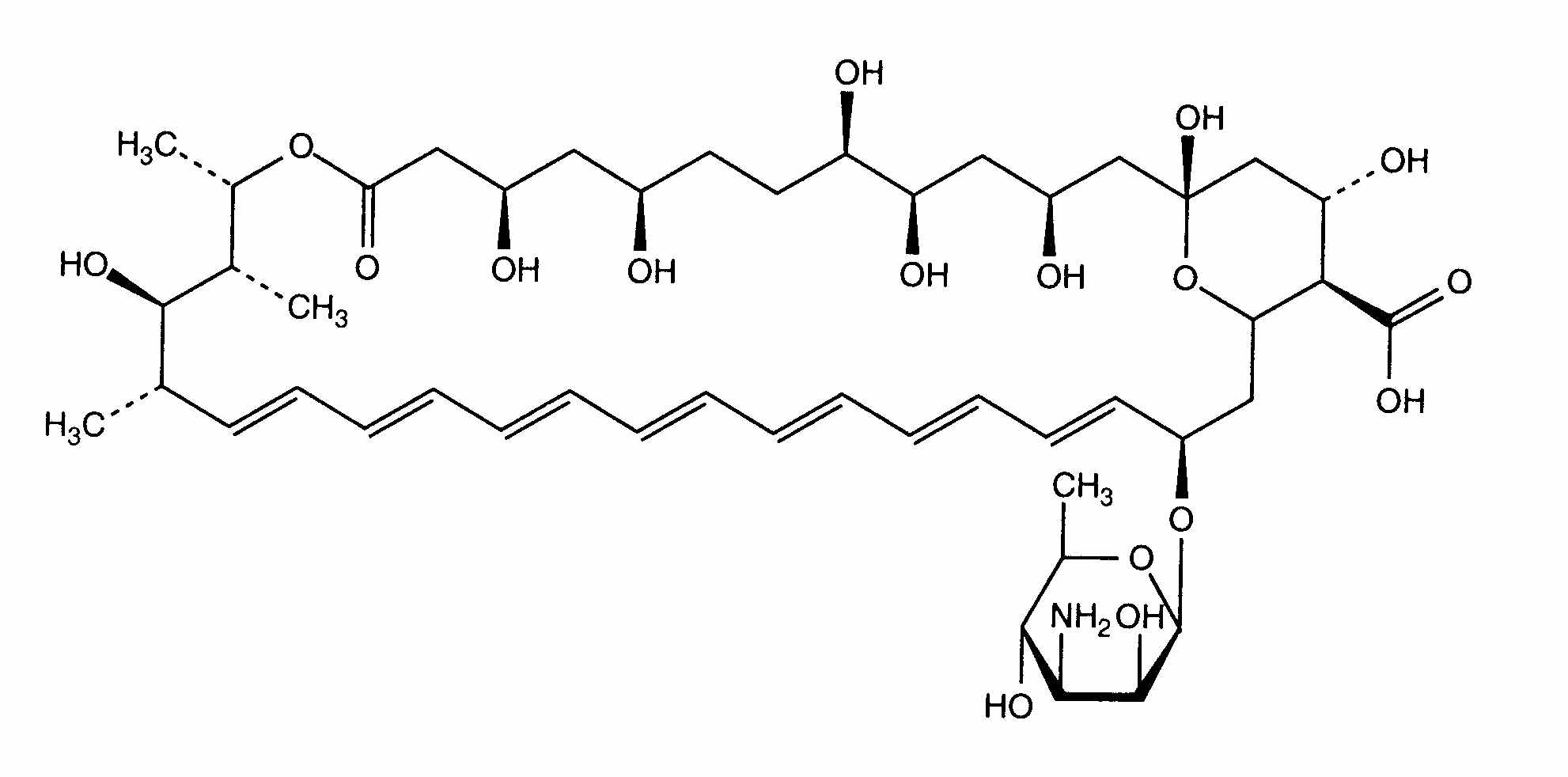
   Химична структура  

Търговско наименование   Търговско наименование     

Търговските имена са примерни и съставът на помощните вещества може да бъде различен в зависимост от държавата и лабораториите

Fungizone Великобритания, Венецуела, Германия, Гърция, Дания, Индия, Иран, Ирландия, Италия, Канада, Колумбия, Малайзия, Мароко, нова Зеландия, Португалия, Съединени Американски щати / САЩ, Тунис, Турция, Унгария, Финландия, Франция, Холандия, Швейцария, Швеция
Стабилност на разтвори   Инжекция/Инжекционен   Стабилност на разтвори : Amphotericin B     
Контейнер Разтворител Концентрация Температура Съхранение Продължителност на стабилността Библиография
Поливинил хлорид Glucose 5% 0,05 & 0,5 mg/ml 23°C-25°C С или без светлина
24 Час
12
Степен на доказаност D

Поливинил хлорид Glucose 5% 0,1 mg/ml 15°C-25°C Защита от светлина
24 Час
435
Степен на доказаност D

Поливинил хлорид Glucose 5% 0,1 mg/ml 4°C Защита от светлина
15 Ден
1907
Степен на доказаност D

Поливинил хлорид Glucose 5% 0,1 & 0,25 mg/ml 4°C Защита от светлина
35 Ден
436
Степен на доказаност A+

Поливинил хлорид Glucose 5% 0,2 & 0,5 mg/ml 25°C Светлина
120 Час
283
Степен на доказаност C+

Поливинил хлорид Glucose 5% 0,2 & 0,5 & 1 mg/ml 4°C Защита от светлина
120 Час
283
Степен на доказаност C+

Поливинил хлорид Glucose 10% 0,1 mg/ml 15°C-25°C Защита от светлина
24 Час
435
Степен на доказаност D

Поливинил хлорид Glucose 15% 0,1 mg/ml 15°C-25°C Защита от светлина
24 Час
435
Степен на доказаност D

Поливинил хлорид Glucose 20% 0,1 mg/ml 15°C-25°C Защита от светлина
24 Час
435
Степен на доказаност D

Полиолефин Glucose 5% 0,47 >> 0,75 mg/ml 25°C Светлина
24 Час
497
Степен на доказаност C+

Полиолефин Glucose 5% 0,92 >> 1,4 mg/ml 25°C Не е уточнено
36 Час
439
Степен на доказаност A+

Полиолефин Glucose 5% 0,92 >> 1,4 mg/ml 6°C Защита от светлина
36 Час
439
Степен на доказаност A+

Полиизопренов еластомер Glucose 5% 0,2 & 0,5 mg/ml 4°C Защита от светлина
10 Ден
604
Данни за стабилност на производителя


  Mentions Légales