Ultimele actualizari :
27/11/2025
Antifungic   Amphotericin B  
Injectabil
Aerosol colir Gargara Soluţie orală
Stabilitatea in solutie Stabilitatea in amestec Factorii care influenteaza stabilitatea Compatibilitate Microunde Bibliografie pdf
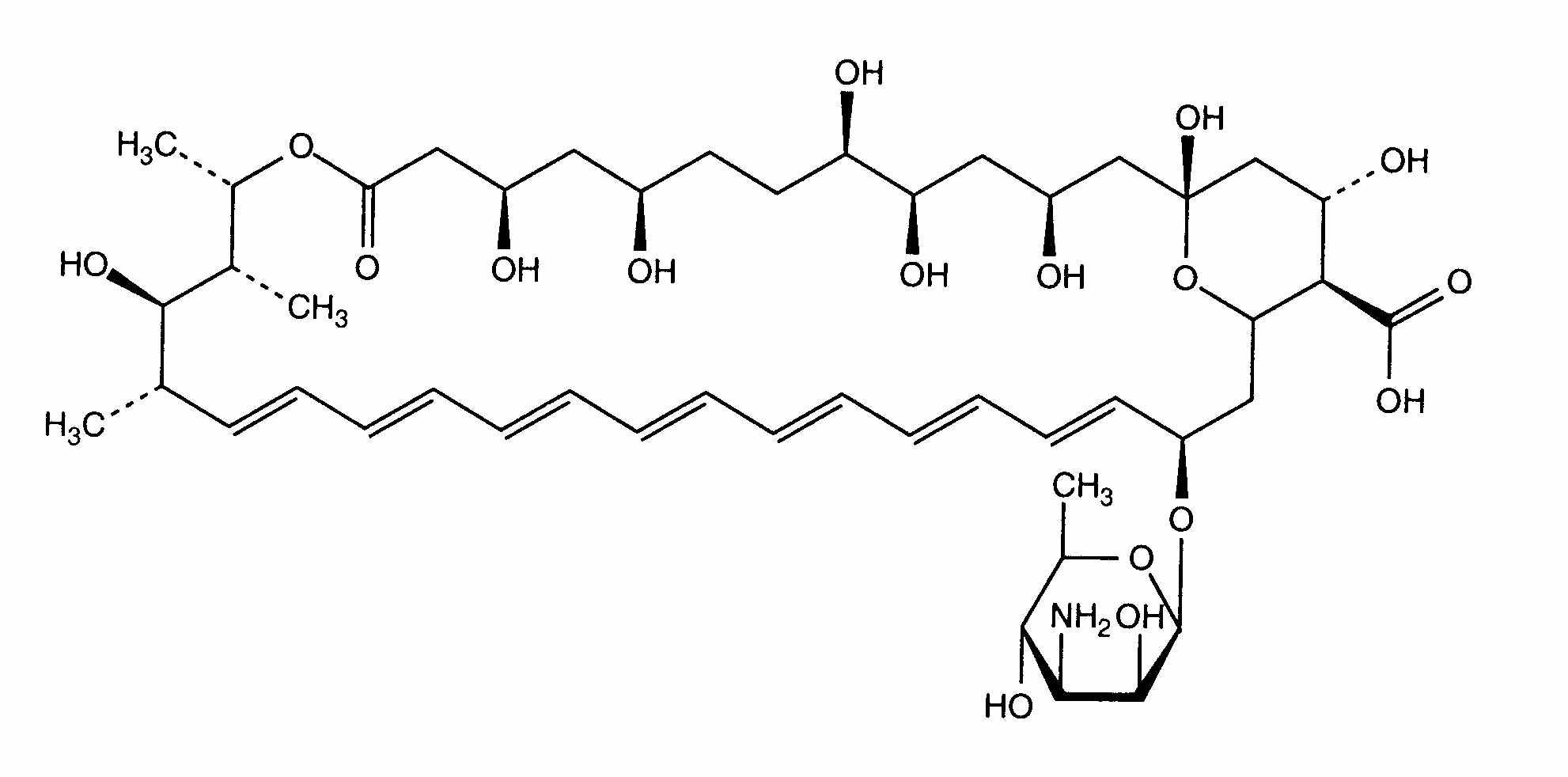
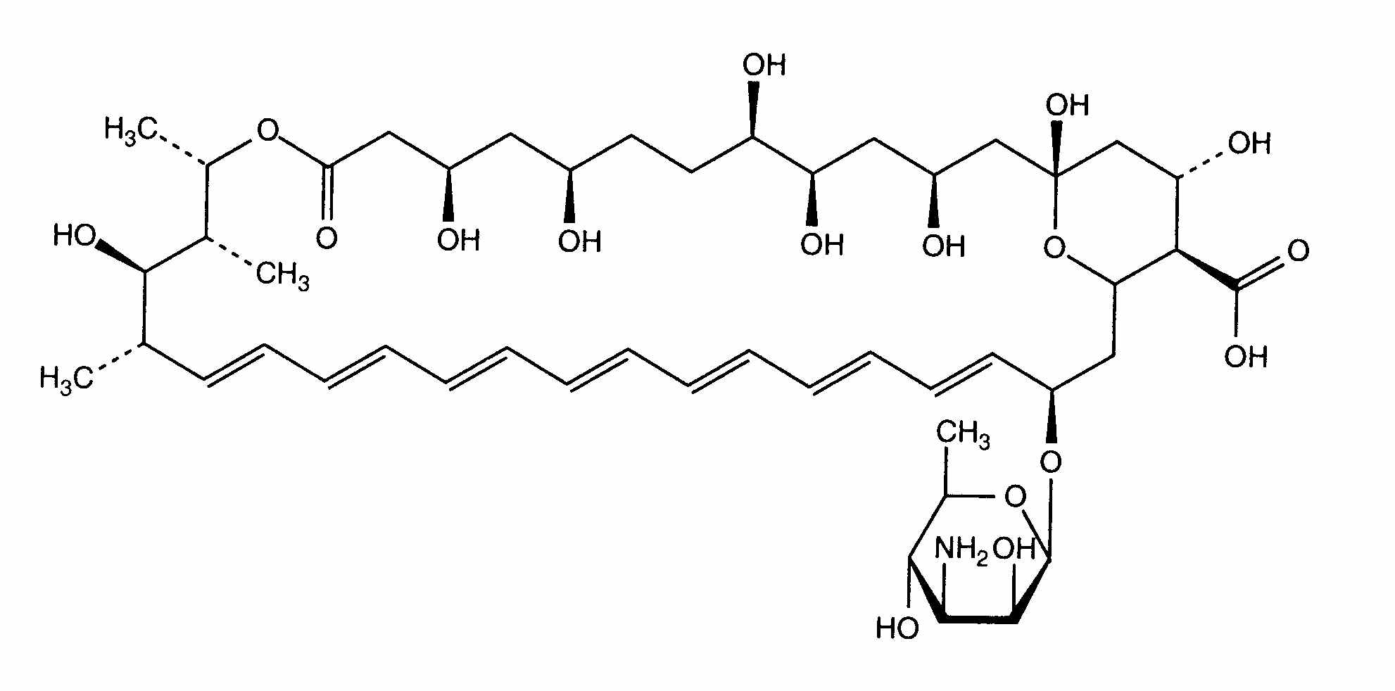
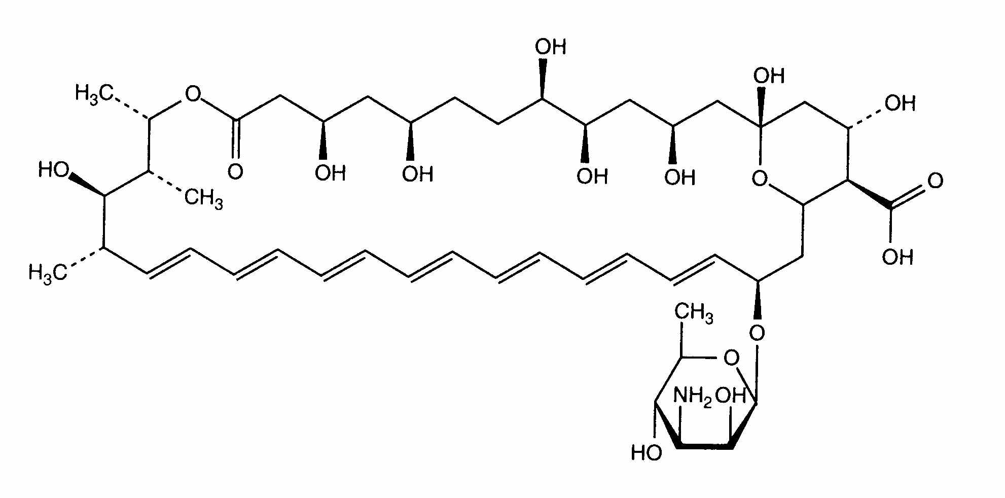
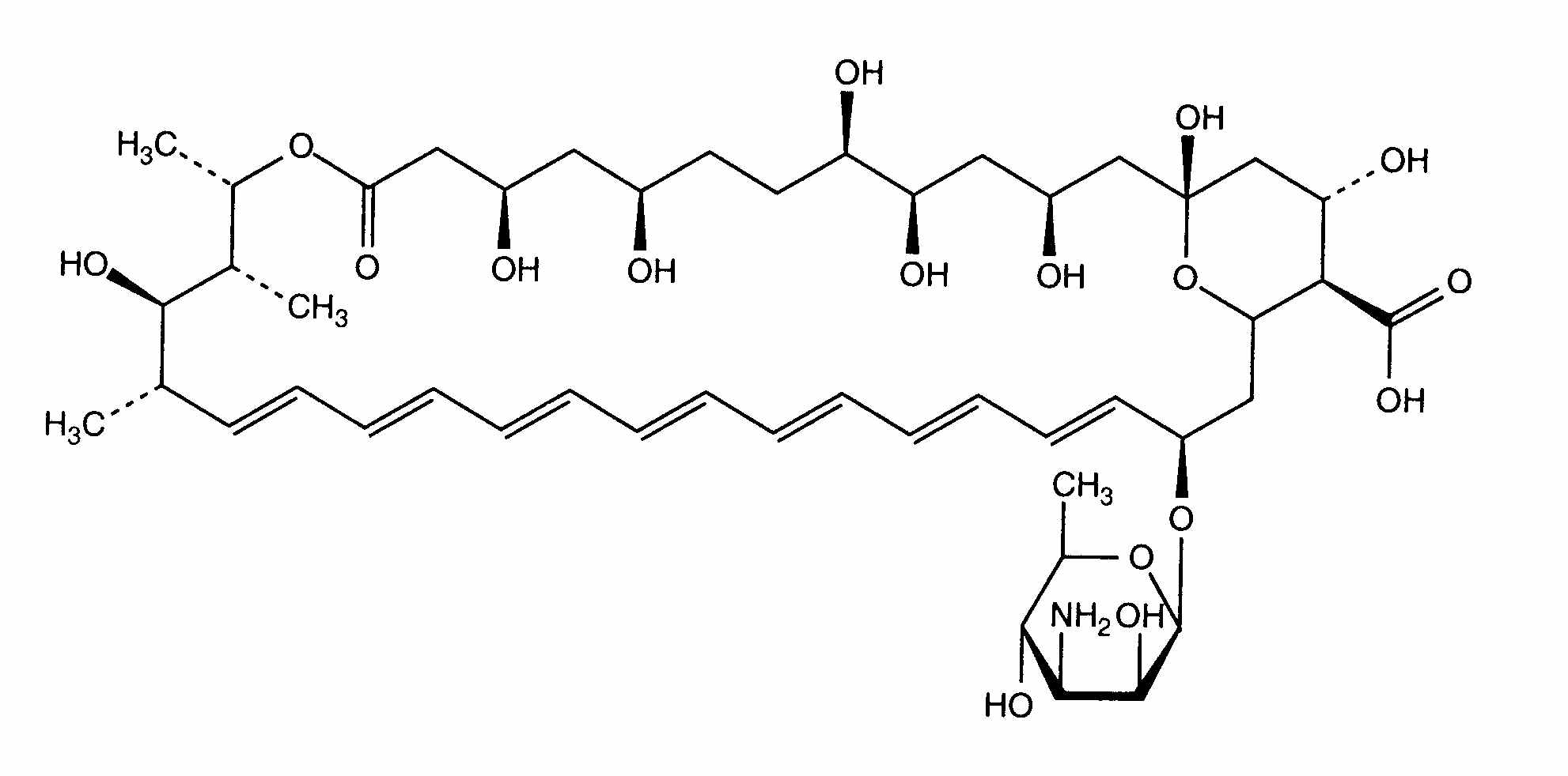
   Formula chimica  

Denumirea comerciala   Denumirea comerciala     

Trade names are indicative and excipients composition can be different depending on the country and manufacturers

Fungizone Canada, Columbia, Danemarca, Elvetia, Finlanda, Franta, Germania, Grecia, India, Iran, Irlanda, Italia, Malaezia, Marea Britanie, Maroc, noua Zeelandă, Olanda, Portugalia, SUA, Suedia, Tunisia, Turcia, Ungaria, Venezuela
Stabilitatea in solutie   Injectabil   Stabilitatea in solutie : Amphotericin B     
Continut Solvent Concentratie Temperatura Conservare Durata stabilității Bibiografie
clorura de polivinil Glucoza 5% 0,05 & 0,5 mg/ml 23°C-25°C In prezenta sau absenta luminii
24 Ora
12
Nivel de evidență D

clorura de polivinil Glucoza 5% 0,1 mg/ml 15°C-25°C Ferit de lumina
24 Ora
435
Nivel de evidență D

clorura de polivinil Glucoza 5% 0,1 mg/ml 4°C Ferit de lumina
15 Ziua
1907
Nivel de evidență D

clorura de polivinil Glucoza 5% 0,1 & 0,25 mg/ml 4°C Ferit de lumina
35 Ziua
436
Nivel de evidență A+

clorura de polivinil Glucoza 5% 0,2 & 0,5 mg/ml 25°C Lumina
120 Ora
283
Nivel de evidență C+

clorura de polivinil Glucoza 5% 0,2 & 0,5 & 1 mg/ml 4°C Ferit de lumina
120 Ora
283
Nivel de evidență C+

clorura de polivinil Glucoza 10% 0,1 mg/ml 15°C-25°C Ferit de lumina
24 Ora
435
Nivel de evidență D

clorura de polivinil Glucoza 15% 0,1 mg/ml 15°C-25°C Ferit de lumina
24 Ora
435
Nivel de evidență D

clorura de polivinil Glucoza 20% 0,1 mg/ml 15°C-25°C Ferit de lumina
24 Ora
435
Nivel de evidență D

poliolefine Glucoza 5% 0,47 >> 0,75 mg/ml 25°C Lumina
24 Ora
497
Nivel de evidență C+

poliolefine Glucoza 5% 0,92 >> 1,4 mg/ml 25°C Neprecizat
36 Ora
439
Nivel de evidență A+

poliolefine Glucoza 5% 0,92 >> 1,4 mg/ml 6°C Ferit de lumina
36 Ora
439
Nivel de evidență A+

Elastomer poliizoprenic Glucoza 5% 0,2 & 0,5 mg/ml 4°C Ferit de lumina
10 Ziua
604
Documentele de stabilitate ale producătorului


  Mentions Légales