Ultimo aggiornamento :
27/04/2026
Antimicotico   Amphotericin B  
Iniezione
Aerosol Collirio Collutorio Soluzione orale
Stabilità in soluzione Stabilità in miscela Fattori che influenzano la stabilità Compatibilità metodo di iniezione Bibliografia pdf
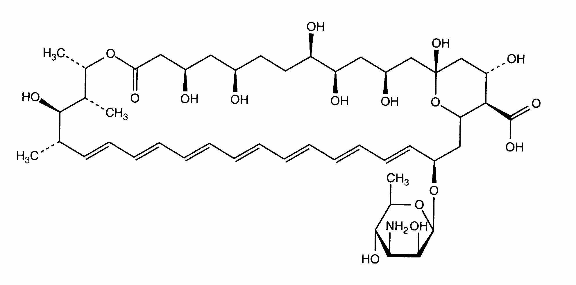
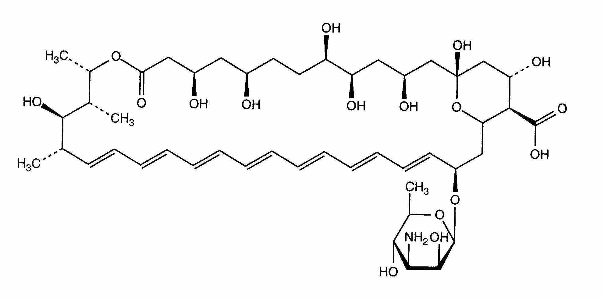
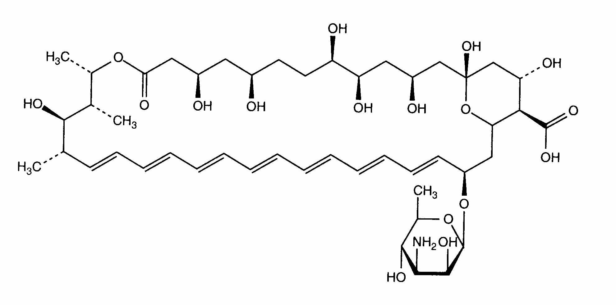
   Struttura chimica  

Nome commerciale   Nome commerciale     

Trade names are indicative and excipients composition can be different depending on the country and manufacturers

Fungizone Canada, Colombia, Danimarca, Finlandia, Francia, Germania, Gran Bretagna, Grecia, India, Iran, Irlanda, Italia, Malaysia, Marocco, nuova Zelanda, Paesi Bassi, Portogallo, Stati Uniti d’America, Svezia, Svizzera, Tunisia, Turchia, Ungheria, Venezuela
Stabilità in soluzione   Iniezione   Stabilità in soluzione : Amphotericin B     
contenitore Solvente Concentrazione Temperatura Conservazione Durata della stabilità Bibliografia
Cloruro di polivinile Glucosio 5% 0,05 & 0,5 mg/ml 23°C-25°C Con o senza luce
24 Ora
12
Livello di evidenza D

Cloruro di polivinile Glucosio 5% 0,1 mg/ml 15°C-25°C Al riparo dalla luce
24 Ora
435
Livello di evidenza D

Cloruro di polivinile Glucosio 5% 0,1 mg/ml 4°C Al riparo dalla luce
15 Giorno
1907
Livello di evidenza D

Cloruro di polivinile Glucosio 5% 0,1 & 0,25 mg/ml 4°C Al riparo dalla luce
35 Giorno
436
Livello di evidenza A+

Cloruro di polivinile Glucosio 5% 0,2 & 0,5 mg/ml 25°C Luce
120 Ora
283
Livello di evidenza C+

Cloruro di polivinile Glucosio 5% 0,2 & 0,5 & 1 mg/ml 4°C Al riparo dalla luce
120 Ora
283
Livello di evidenza C+

Cloruro di polivinile Glucosio 10% 0,1 mg/ml 15°C-25°C Al riparo dalla luce
24 Ora
435
Livello di evidenza D

Cloruro di polivinile Glucosio 15% 0,1 mg/ml 15°C-25°C Al riparo dalla luce
24 Ora
435
Livello di evidenza D

Cloruro di polivinile Glucosio 20% 0,1 mg/ml 15°C-25°C Al riparo dalla luce
24 Ora
435
Livello di evidenza D

Poliolefina Glucosio 5% 0,47 >> 0,75 mg/ml 25°C Luce
24 Ora
497
Livello di evidenza C+

Poliolefina Glucosio 5% 0,92 >> 1,4 mg/ml 25°C Non precisata
36 Ora
439
Livello di evidenza A+

Poliolefina Glucosio 5% 0,92 >> 1,4 mg/ml 6°C Al riparo dalla luce
36 Ora
439
Livello di evidenza A+

Elastomero poliisoprenico Glucosio 5% 0,2 & 0,5 mg/ml 4°C Al riparo dalla luce
10 Giorno
604
Dati di stabilità del produttore


  Mentions Légales