Posledná aktualizácia :
27/04/2026
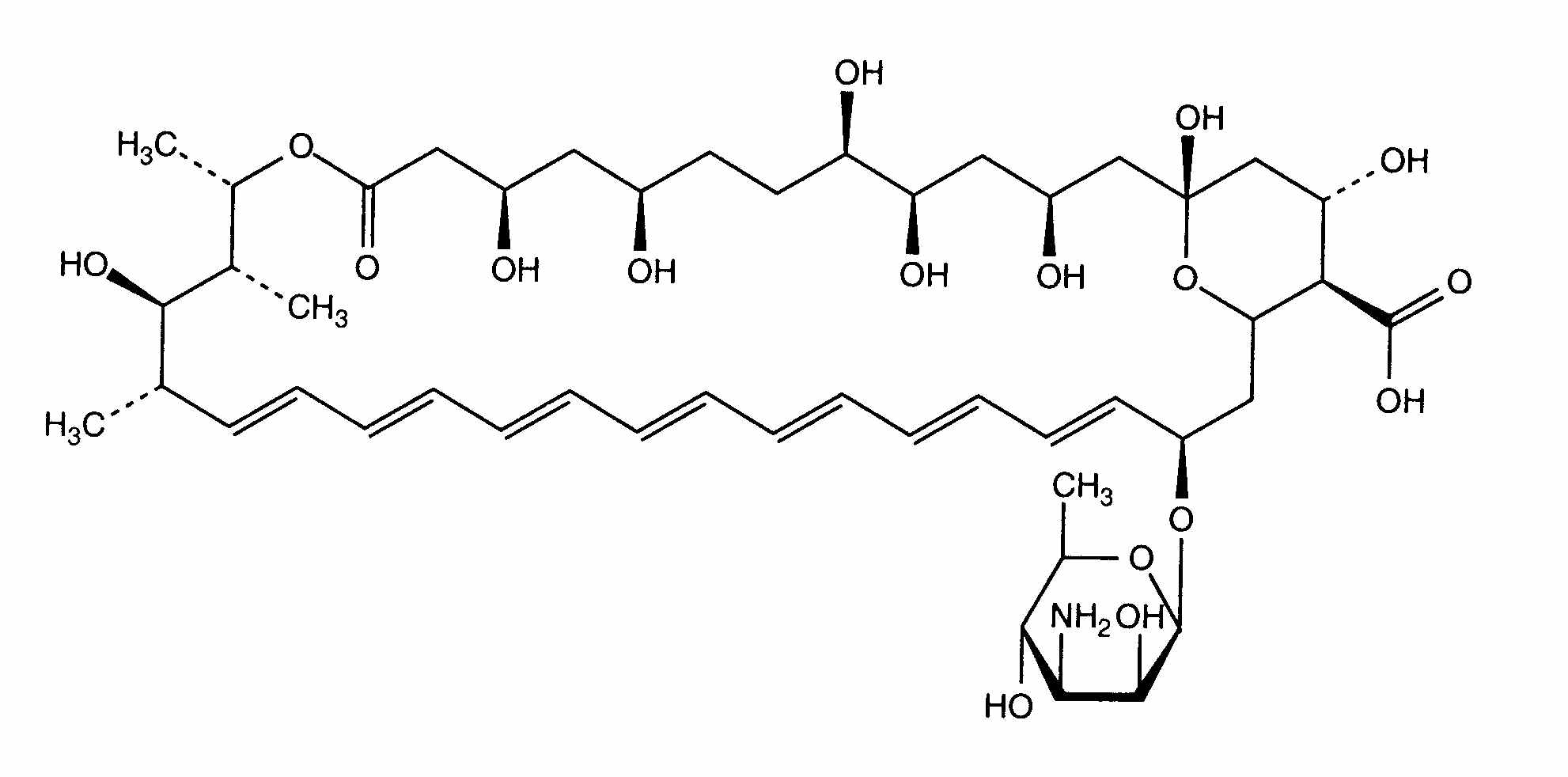
antimykotikum   Amphotericin B  
Injekcia
Aerosól Kloktadlo Očná instilácia Perorálny roztok
Stabilita roztokov Stabilita v zmesiach Faktory ovplyvňujúce stabilitu Kompatibility spôsob podania Odkazy na literatúru PDF
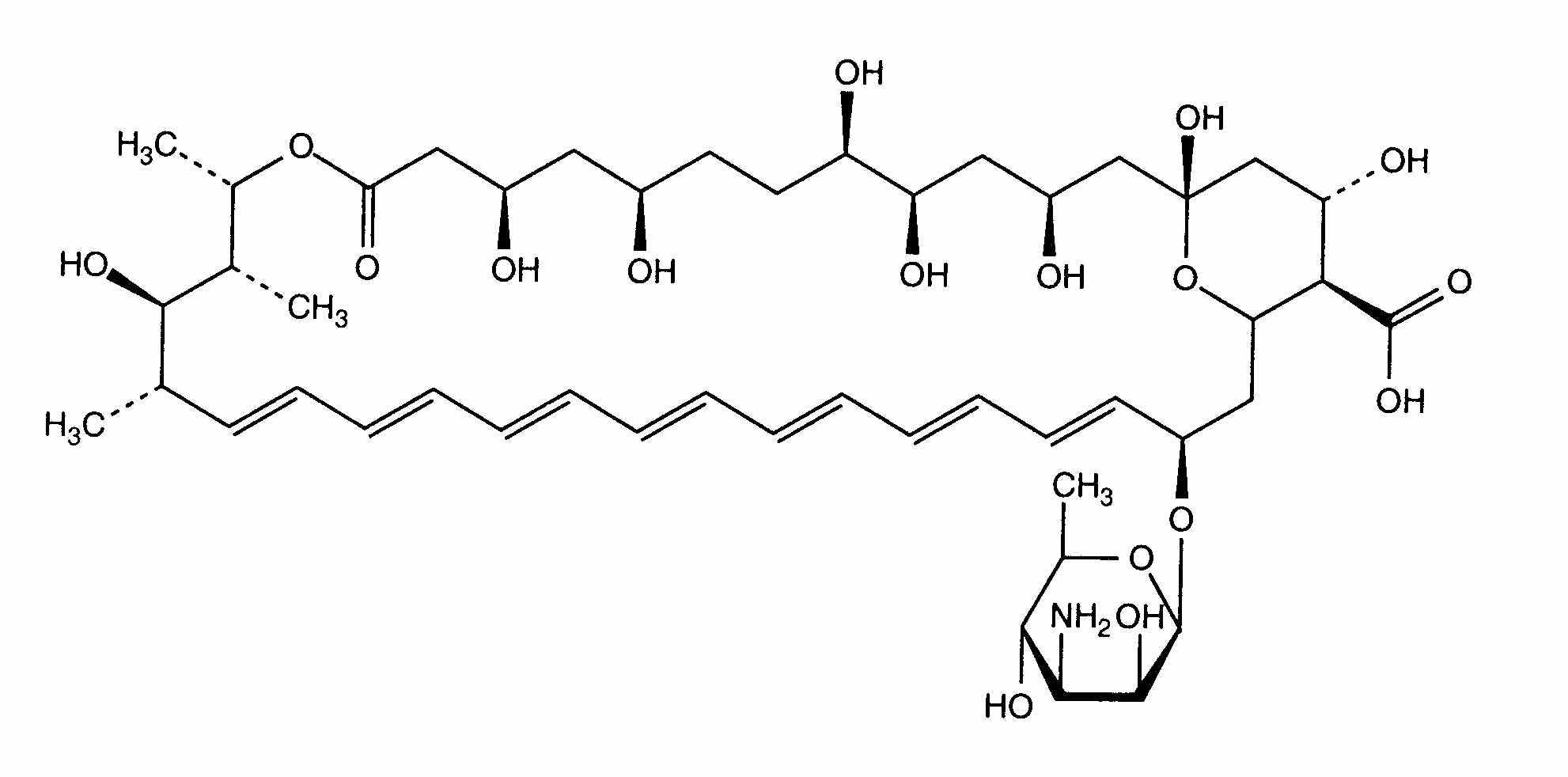
   Chemický vzorec  

Obchodný názov   Obchodný názov     

Obchodné názvy sú orientačné, a zloženie pomocných látok sa môže líšiť v závislosti od krajiny a výrobcu.

Fungizone Dánsko, Fínsko, Francúzsko, Grécko, Holandsko, India, Irán, Írsko, Kanada, Kolumbia, Maďarsko, Malajzia, Maroko, Nemecko, nový Zéland, Portugalsko, Spojené štáty Americké, Švajčiarsko, Švédsko, Taliansko, Tunisko, Turecko, Veľká Británia, Venezuela
Stabilita roztokov   Injekcia   Stabilita roztokov : Amphotericin B     
obal rozpúšťadlo koncentrácia teplota uchovávanie Trvanie stability odkazy na lieteratúru
polyvinylchlorid (PVC) 5% glukóza 0,05 & 0,5 mg/ml 23°C-25°C Za svetla alebo chránené pred svetlom
24 hodín
12
Úroveň dôkazov D

polyvinylchlorid (PVC) 5% glukóza 0,1 mg/ml 15°C-25°C Chránené pred svetlom
24 hodín
435
Úroveň dôkazov D

polyvinylchlorid (PVC) 5% glukóza 0,1 mg/ml 4°C Chránené pred svetlom
15 dní
1907
Úroveň dôkazov D

polyvinylchlorid (PVC) 5% glukóza 0,1 & 0,25 mg/ml 4°C Chránené pred svetlom
35 dní
436
Úroveň dôkazov A+

polyvinylchlorid (PVC) 5% glukóza 0,2 & 0,5 mg/ml 25°C Za svetla
120 hodín
283
Úroveň dôkazov C+

polyvinylchlorid (PVC) 5% glukóza 0,2 & 0,5 & 1 mg/ml 4°C Chránené pred svetlom
120 hodín
283
Úroveň dôkazov C+

polyvinylchlorid (PVC) 10% glukóza 0,1 mg/ml 15°C-25°C Chránené pred svetlom
24 hodín
435
Úroveň dôkazov D

polyvinylchlorid (PVC) 15% glukóza 0,1 mg/ml 15°C-25°C Chránené pred svetlom
24 hodín
435
Úroveň dôkazov D

polyvinylchlorid (PVC) 20% glukóza 0,1 mg/ml 15°C-25°C Chránené pred svetlom
24 hodín
435
Úroveň dôkazov D

polyolefín 5% glukóza 0,47 >> 0,75 mg/ml 25°C Za svetla
24 hodín
497
Úroveň dôkazov C+

polyolefín 5% glukóza 0,92 >> 1,4 mg/ml 25°C nešpecifikované
36 hodín
439
Úroveň dôkazov A+

polyolefín 5% glukóza 0,92 >> 1,4 mg/ml 6°C Chránené pred svetlom
36 hodín
439
Úroveň dôkazov A+

Polyizoprénový elastomer 5% glukóza 0,2 & 0,5 mg/ml 4°C Chránené pred svetlom
10 dní
604
Údaje o stabilite od výrobcu


  Mentions Légales