Dernière mise à jour :
27/04/2026
Antifongique   Amphotericin B  
injectable
Aérosol Collyre Gargarisme Solution buvable
Stabilité des solutions Stabilité en mélange Facteur influençant la stabilité Compatibilités Voie d’administration Bibliographie pdf
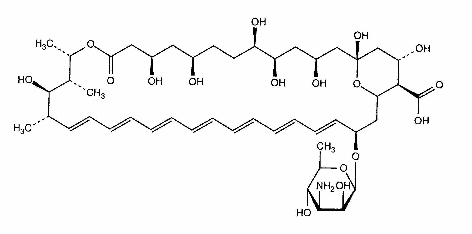
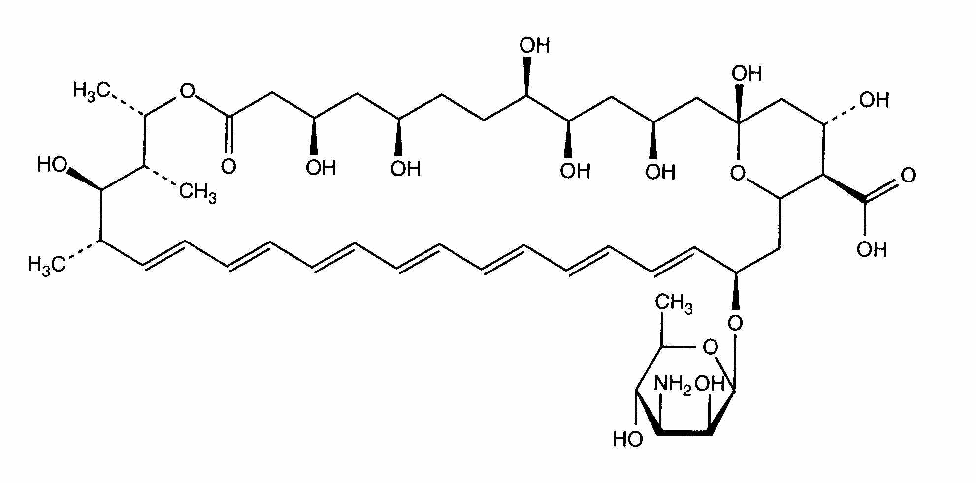
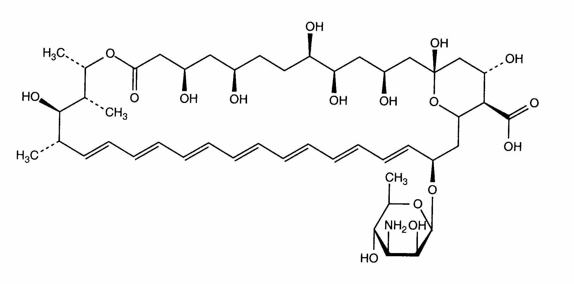
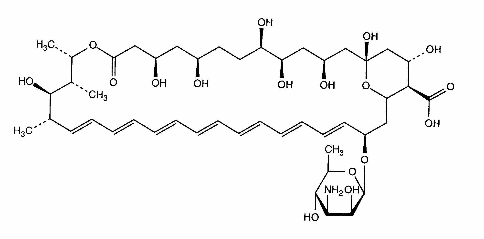
   Structure chimique  

Noms commerciaux   Noms commerciaux     

Les noms commerciaux sont donnés à titre indicatif et la composition en excipients peut être différente selon les pays et selon les laboratoires

Fungizone Allemagne, Canada, Colombie, Danemark, Etats Unis d’Amérique, Finlande, France, Grande Bretagne, Grèce, Hongrie, Inde, Iran, Irlande, Italie, Malaisie, Maroc, Nouvelle Zélande, Pays bas, Portugal, Suède, Suisse, Tunisie, Turquie, Vénézuela
Stabilité des solutions   injectable   Stabilité des solutions : Amphotericin B     
Contenant Solvant Concentration Température Conservation Durée de stabilité Bibliographie
Polyvinyl chlorure Glucose 5% 0,05 & 0,5 mg/ml 23°C-25°C Avec ou sans lumière
24 Heure
12
Niveau de preuve D

Polyvinyl chlorure Glucose 5% 0,1 mg/ml 15°C-25°C A l’abri de la lumière
24 Heure
435
Niveau de preuve D

Polyvinyl chlorure Glucose 5% 0,1 mg/ml 4°C A l’abri de la lumière
15 Jour
1907
Niveau de preuve D

Polyvinyl chlorure Glucose 5% 0,1 & 0,25 mg/ml 4°C A l’abri de la lumière
35 Jour
436
Niveau de preuve A +

Polyvinyl chlorure Glucose 5% 0,2 & 0,5 mg/ml 25°C Lumière
120 Heure
283
Niveau de preuve C+

Polyvinyl chlorure Glucose 5% 0,2 & 0,5 & 1 mg/ml 4°C A l’abri de la lumière
120 Heure
283
Niveau de preuve C+

Polyvinyl chlorure Glucose 10% 0,1 mg/ml 15°C-25°C A l’abri de la lumière
24 Heure
435
Niveau de preuve D

Polyvinyl chlorure Glucose 15% 0,1 mg/ml 15°C-25°C A l’abri de la lumière
24 Heure
435
Niveau de preuve D

Polyvinyl chlorure Glucose 20% 0,1 mg/ml 15°C-25°C A l’abri de la lumière
24 Heure
435
Niveau de preuve D

Polyolefine Glucose 5% 0,47 >> 0,75 mg/ml 25°C Lumière
24 Heure
497
Niveau de preuve C+

Polyolefine Glucose 5% 0,92 >> 1,4 mg/ml 25°C Non précisée
36 Heure
439
Niveau de preuve A +

Polyolefine Glucose 5% 0,92 >> 1,4 mg/ml 6°C A l’abri de la lumière
36 Heure
439
Niveau de preuve A +

Elastomère en polyisoprène Glucose 5% 0,2 & 0,5 mg/ml 4°C A l’abri de la lumière
10 Jour
604
Données de stabilité du fabricant


  Mentions Légales