Pēdējā atjaunošana :
27/04/2026
Pretsēnīšu līdzeklis   Amphotericin B  
Injekcija
Acu pilieni Aerosols Mutes skalojamais līdzeklis Orāls šķīdums
Šķīduma stabilitāte Maisījuma stabilitāte Stabilitāti ietekmējoši faktori Saderība Levadīšanas veids Literatūras saraksts pdf
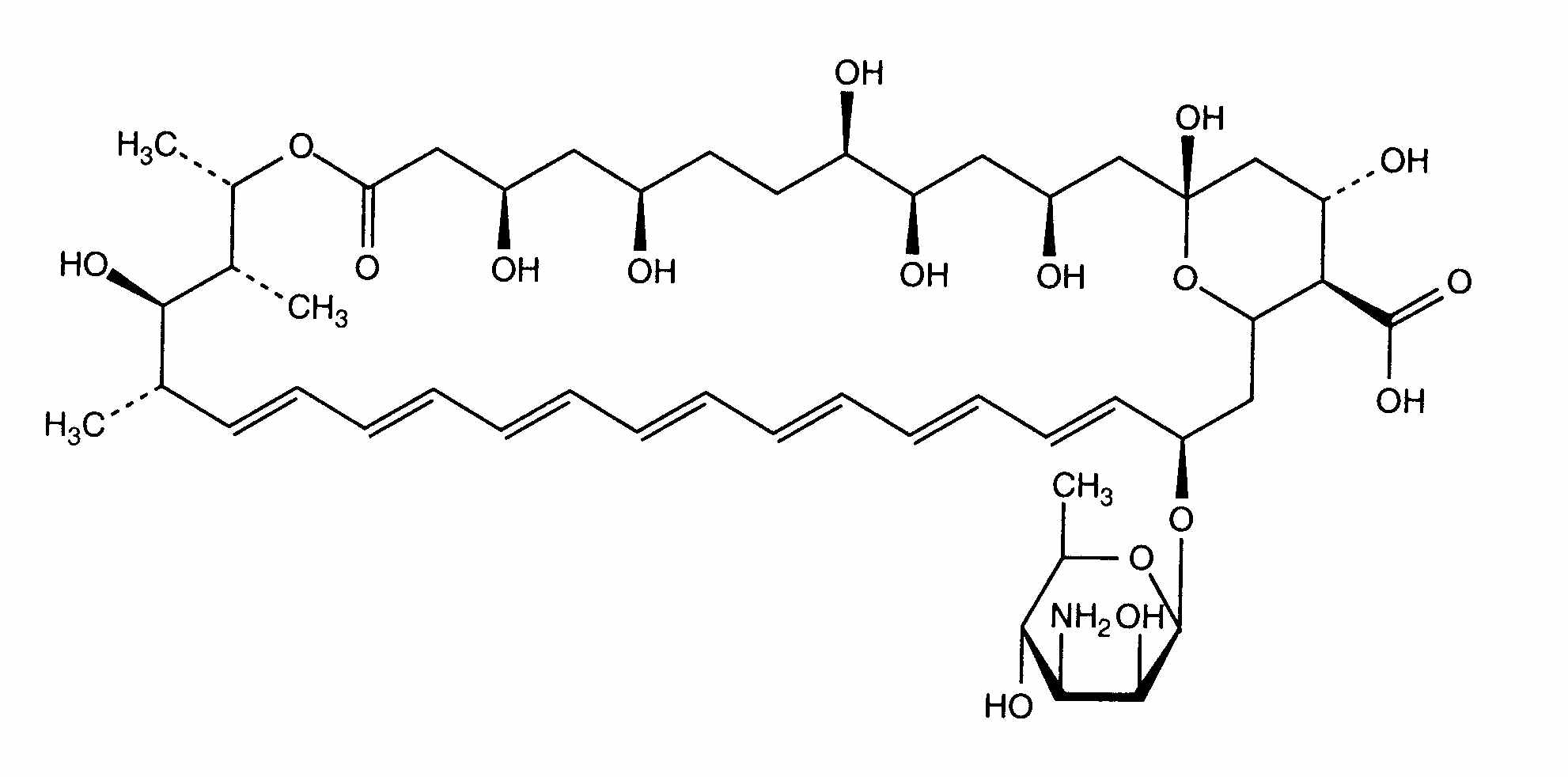
   Ķīmiskā uzbūve   

Oriģinālais nosaukums   Oriģinālais nosaukums     

Tirdzniecības nosaukumi ir apzīmējoši un palīgvielas var atšķirties dažādām valstīm un laboratorijām

Fungizone Amerikas Savienotās Valstis, Dānija, Francija, Grieķija, Holande, Indija, Irāna, Īrija, Itālija, Jaunzēlande, Kanāda, Kolumbija, Lielbritānija, Malaizija, Maroka, Portugāle, Somija, Šveice, Tunisija, Turcija, Ungārija, Vācija, Venecuēla, Zviedrija
Šķīduma stabilitāte   Injekcija   Šķīduma stabilitāte : Amphotericin B     
Iepakojums Šķīdinātājs Koncentrācija Temperatūra Glabāšana Stabilitātes ilgums Literatūras saraksts
Polivinilhlorīds 5% glikoze 0,05 & 0,5 mg/ml 23°C-25°C Ar vai bez gaismas
24 Stunda
12
Pierādījumu līmenis D

Polivinilhlorīds 5% glikoze 0,1 mg/ml 15°C-25°C Aizsargāt no gaismas
24 Stunda
435
Pierādījumu līmenis D

Polivinilhlorīds 5% glikoze 0,1 mg/ml 4°C Aizsargāt no gaismas
15 Diena
1907
Pierādījumu līmenis D

Polivinilhlorīds 5% glikoze 0,1 & 0,25 mg/ml 4°C Aizsargāt no gaismas
35 Diena
436
Pierādījumu līmenis A+

Polivinilhlorīds 5% glikoze 0,2 & 0,5 mg/ml 25°C Gaisma
120 Stunda
283
Pierādījumu līmenis C+

Polivinilhlorīds 5% glikoze 0,2 & 0,5 & 1 mg/ml 4°C Aizsargāt no gaismas
120 Stunda
283
Pierādījumu līmenis C+

Polivinilhlorīds 10% glikoze 0,1 mg/ml 15°C-25°C Aizsargāt no gaismas
24 Stunda
435
Pierādījumu līmenis D

Polivinilhlorīds 15% glikoze 0,1 mg/ml 15°C-25°C Aizsargāt no gaismas
24 Stunda
435
Pierādījumu līmenis D

Polivinilhlorīds 20% glikoze 0,1 mg/ml 15°C-25°C Aizsargāt no gaismas
24 Stunda
435
Pierādījumu līmenis D

Poliolefīns 5% glikoze 0,47 >> 0,75 mg/ml 25°C Gaisma
24 Stunda
497
Pierādījumu līmenis C+

Poliolefīns 5% glikoze 0,92 >> 1,4 mg/ml 25°C Nav specifisks
36 Stunda
439
Pierādījumu līmenis A+

Poliolefīns 5% glikoze 0,92 >> 1,4 mg/ml 6°C Aizsargāt no gaismas
36 Stunda
439
Pierādījumu līmenis A+

Poliizoprēna elastomērs 5% glikoze 0,2 & 0,5 mg/ml 4°C Aizsargāt no gaismas
10 Diena
604
Ražotāja stabilitātes dati


  Mentions Légales