Son güncelleme :
27/04/2026
Antiparazitik   Artesunate  
Fitil
Enjeksiyon
Farmasötik preparatlar Kararlılığı Karışımlardaki stabilitesi Stabiliteyi etkileyen faktörler Uyumluluk Kaynaklar pdf
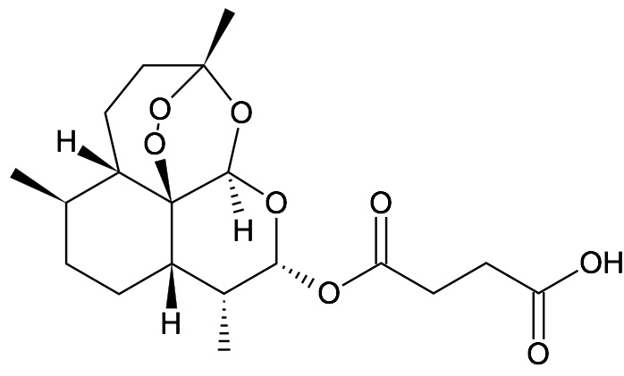
   Kimyasal yapı   

Fitil
Karışımlardaki stabilitesi   Fitil   Karışımlardaki stabilitesi : Artesunate     
veri yok

  Mentions Légales