Utolsó frissítés :
27/04/2026
Parazitaellenes szer   Artesunate  
kúp
Injekció
Stabilitása gyógyszerészeti készítmények A keverékek stabilitása Stabilitást befolyásoló tényezők Kompatibilitás Irodalom pdf
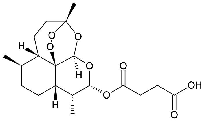
   Kémiai szerkezet   

kúp
A keverékek stabilitása   kúp   A keverékek stabilitása : Artesunate     
Hiányzó adat

  Mentions Légales