Siste oppdatering :
21/01/2026
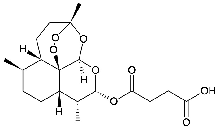
Antiparasittmiddel   Artesunate  
Stikkpille
Injeksjon
Stabilitet av farmasøytiske preparater Stabilitet i blandinger Faktorer som påvirker stabiliteten Kompatibilitet Referanser pdf
   Kjemisk struktur  

Stikkpille
Stabilitet i blandinger   Stikkpille   Stabilitet i blandinger : Artesunate     
Ingen opplysninger

  Mentions Légales