最新更新 :
27/04/2026
抗寄生虫薬   Artesunate  
坐薬
注射薬
調剤時の安定性 混合時の安定性 安定性に影響する因子 互換性 引用文献 PDF
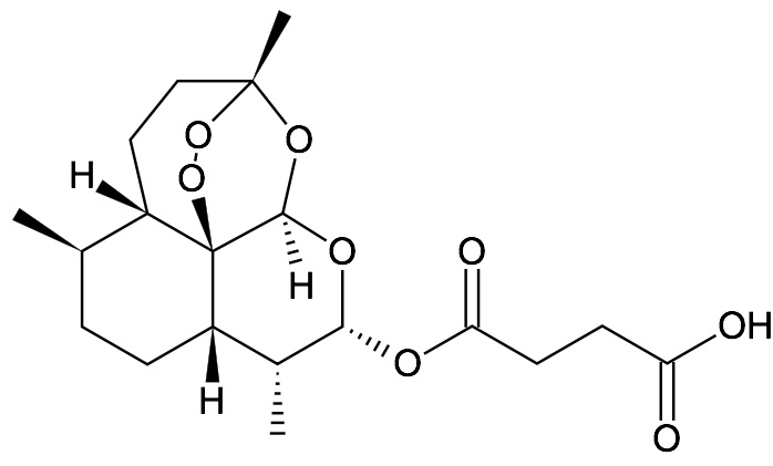
   化学構造  

坐薬
混合時の安定性   坐薬   混合時の安定性 : Artesunate     
データなし

  Mentions Légales