Laatste update :
27/04/2026
Antiparasiticum   Artesunate  
zetpil
injecteerbaar geneesmiddel
Stabiliteit van farmaceutische preparaten Stabiliteit in mengsels Factoren die de stabiliteit beïnvloeden Verenigbaarheden Literatuur pdf
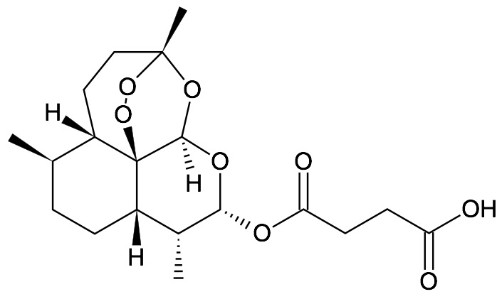
   Molecuulstructuur  

zetpil
Stabiliteit in mengsels   zetpil   Stabiliteit in mengsels : Artesunate     
geen gegevens

  Mentions Légales