Poslední aktualizace :
27/04/2026
Antiparazitikum   Artesunate  
čípky
injekce
Stabilita farmaceutických přípravků Stabilita směsí Faktory ovlivňující stabilitu Kompatibilita Odkazy pdf
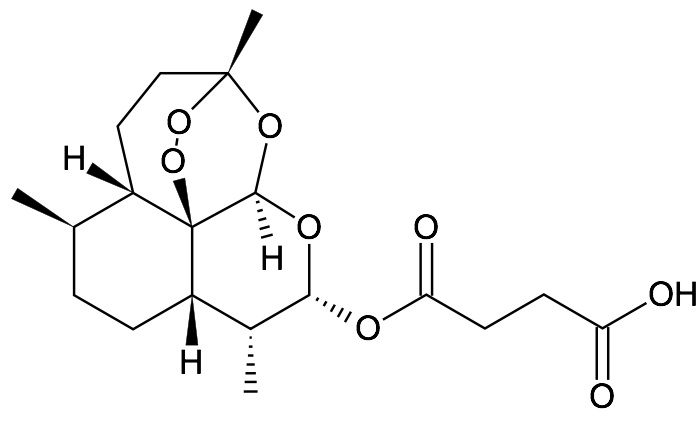
   Chemický vzorec  

čípky
Stabilita směsí   čípky   Stabilita směsí : Artesunate     
žádná data

  Mentions Légales