Ostatnia aktualizacja :
27/04/2026
Lek przeciwpasożytniczy   Artesunate  
Czopek
Injekcje
Stabilność preparatów farmaceutycznych Trwałość w mieszaninie Czynnik wpływający na trwałość Zgodność Bibliografia pdf
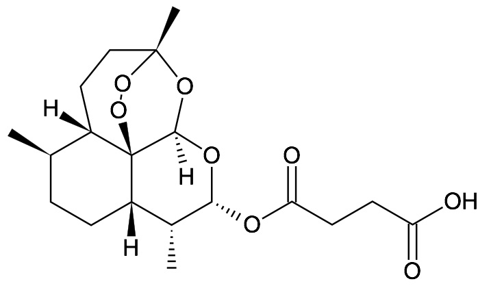
   Struktura chemiczna  

Czopek
Trwałość w mieszaninie   Czopek   Trwałość w mieszaninie : Artesunate     
Brak danych

  Mentions Légales