Pēdējā atjaunošana :
27/04/2026
Pretparazītu līdzeklis   Artesunate  
Supozitorijs
Injekcija
Stabilitāte farmaceitisko preparātu Maisījuma stabilitāte Stabilitāti ietekmējoši faktori Saderība Literatūras saraksts pdf
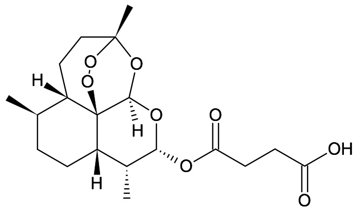
   Ķīmiskā uzbūve   

Supozitorijs
Maisījuma stabilitāte   Supozitorijs   Maisījuma stabilitāte : Artesunate     
Nav datu

  Mentions Légales