viimane versioon :
27/04/2026
Parasiidivastane ravim   Artesunate  
ravimküünal
Süsteravim
Stabiilsust ravimpreparaadid Stabiilsust mõjutavad tegurid stabiilsust mõjutavad faktorid Sobimatus Viited pdf
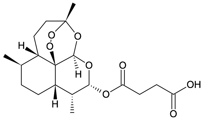
   keemiline struktuur  

ravimküünal
Stabiilsust mõjutavad tegurid   ravimküünal   Stabiilsust mõjutavad tegurid : Artesunate     
andmed puuduvad

  Mentions Légales