Last update :
27/04/2026
Antiparasitic   Artesunate  
suppository
injection
Stability of pharmaceutical preparations Stability of mixtures Factors which affect stability Compatibility References pdf
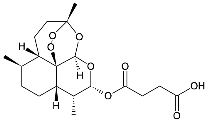
   Chemical structure  

suppository
Stability of mixtures   suppository   Stability of mixtures : Artesunate     
No data

  Mentions Légales