Senaste uppdateringen :
27/04/2026
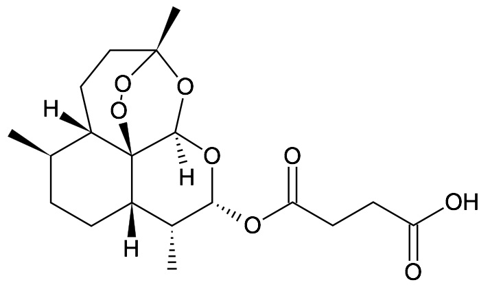
Antiparasitärt medel   Artesunate  
Stolpiller
injektion
Stabilitet av läkemedel Stabilitet i blandningar Faktorer som påverkar stabiliteten Kompatibilitet Hänvisningar pdf
   Molekylstruktur  

Stolpiller
Stabilitet i blandningar   Stolpiller   Stabilitet i blandningar : Artesunate     
Ingen uppgift

  Mentions Légales