Poslední aktualizace :
27/04/2026
Priešparazitinis vaistas   Artesunate  
Žvakutė
Įpurškimas
Stabilumas farmacinių preparatų Mišinių stabilumas Stabilumą lemiantys veiksniai Suderinamumas Bibliografija pdf
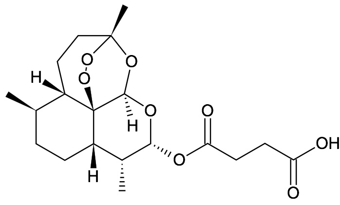
   Cheminė sandara  

Žvakutė
Mišinių stabilumas   Žvakutė   Mišinių stabilumas : Artesunate     
Nėra duomenų

  Mentions Légales