Senaste uppdateringen :
31/03/2026
Antimykotikum   Amphotericin B  
Munvatten
Aerosol injektion ögondroppar Oral lösning
Stabilitet av läkemedel Stabilitet i blandningar Faktorer som påverkar stabiliteten Kompatibilitet Hänvisningar pdf
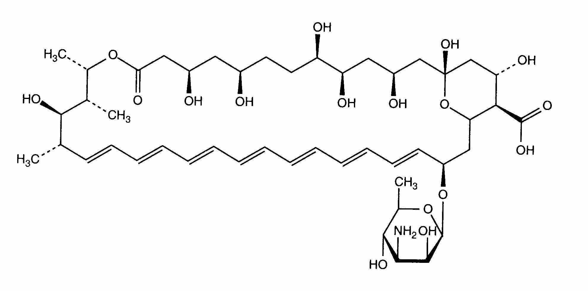
   Molekylstruktur  

Munvatten
Stabilitet av läkemedel   Munvatten   Stabilitet av läkemedel : Amphotericin B     
Behållare Origine Hjälpämne Temperatur Förvaring Stabilitets varaktighet Hänvisningar
Glas Pulver 3700 mg
Fungizone®
Natriumbikarbonat 1.4% >> 500 ml
19-23°C Skyddas från ljus
3 Dag
2820

Polypropylen Pulver 3700 mg
Fungizone®
Natriumbikarbonat 1.4% >> 500 ml
19-23°C Med eller utan ljus
3 Dag
2820

Polypropylen Pulver 3700 mg
Fungizone®
Natriumbikarbonat 1.4% >> 500 ml
4°C Skyddas från ljus
15 Dag
2820


  Mentions Légales