Last update :
31/03/2026
Antifungal   Amphotericin B  
Mouthwash
aerosol Eye-drops injection Oral solution
Stability of pharmaceutical preparations Stability of mixtures Factors which affect stability Compatibility References pdf
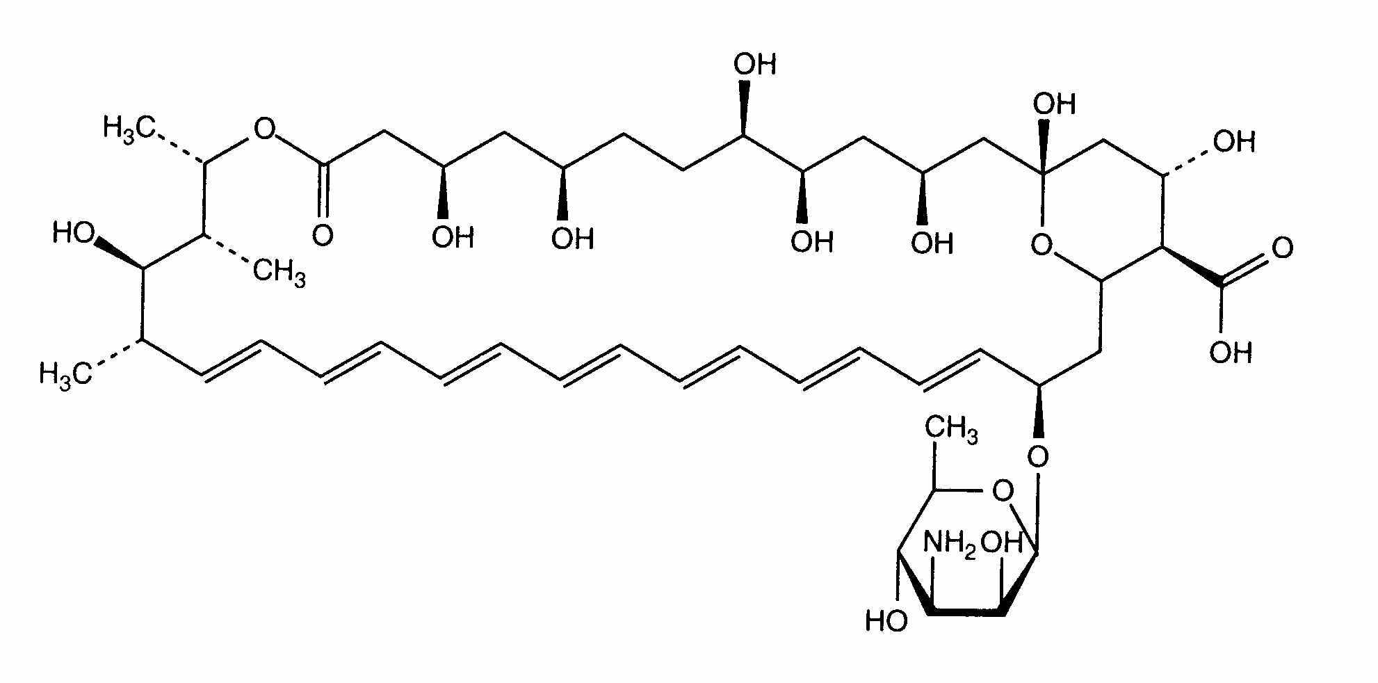
   Chemical structure  

Mouthwash
Stability of pharmaceutical preparations   Mouthwash   Stability of pharmaceutical preparations : Amphotericin B     
Container Origine excipient Temperature Storage Duration of stability References
Glass powder 3700 mg
Fungizone®
Sodium bicarbonate 1.4% >> 500 ml
19-23°C Protect from light
3 Day
2820

Polypropylene powder 3700 mg
Fungizone®
Sodium bicarbonate 1.4% >> 500 ml
19-23°C With or without light
3 Day
2820

Polypropylene powder 3700 mg
Fungizone®
Sodium bicarbonate 1.4% >> 500 ml
4°C Protect from light
15 Day
2820


  Mentions Légales