Dernière mise à jour :
31/03/2026
Antifongique   Amphotericin B  
Gargarisme
Aérosol Collyre injectable Solution buvable
Stabilité des préparations Stabilité en mélange Facteur influençant la stabilité Compatibilités Bibliographie pdf
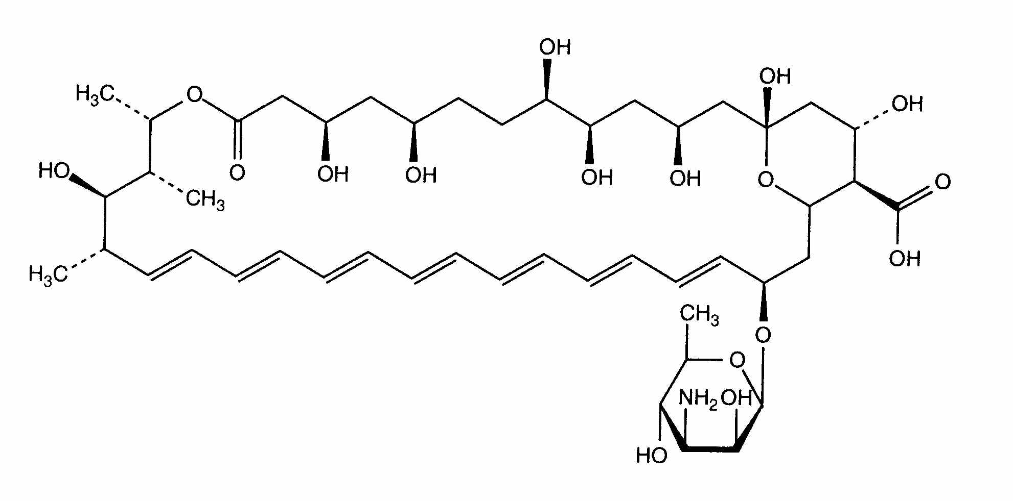
   Structure chimique  

Gargarisme
Stabilité des préparations   Gargarisme    Stabilité des préparations : Amphotericin B     
Contenant Origine Excipient Température Conservation Durée de stabilité Bibliographie
Verre Poudre 3700 mg
Fungizone®
NaHCO3 1.4% >> 500 ml
19-23°C A l’abri de la lumière
3 Jour
2820

Polypropylène Poudre 3700 mg
Fungizone®
NaHCO3 1.4% >> 500 ml
19-23°C Avec ou sans lumière
3 Jour
2820

Polypropylène Poudre 3700 mg
Fungizone®
NaHCO3 1.4% >> 500 ml
4°C A l’abri de la lumière
15 Jour
2820


  Mentions Légales