Τελευταία ενημέρωση :
27/04/2026
Αντιμυκητικό   Amphotericin B  
Στοματικό διάλυμα
Αεροζόλ Ενέσιμο Οφθαλμικές σταγόνες Πόσιμο διάλυμα
Σταθερότητα και συμβατότητα των φαρμάκων Σταθερότητα σε μίγματα Παράγοντας που επηρεάζει τη σταθερότητα Συμβατότητες Βιβλιογραφία pdf
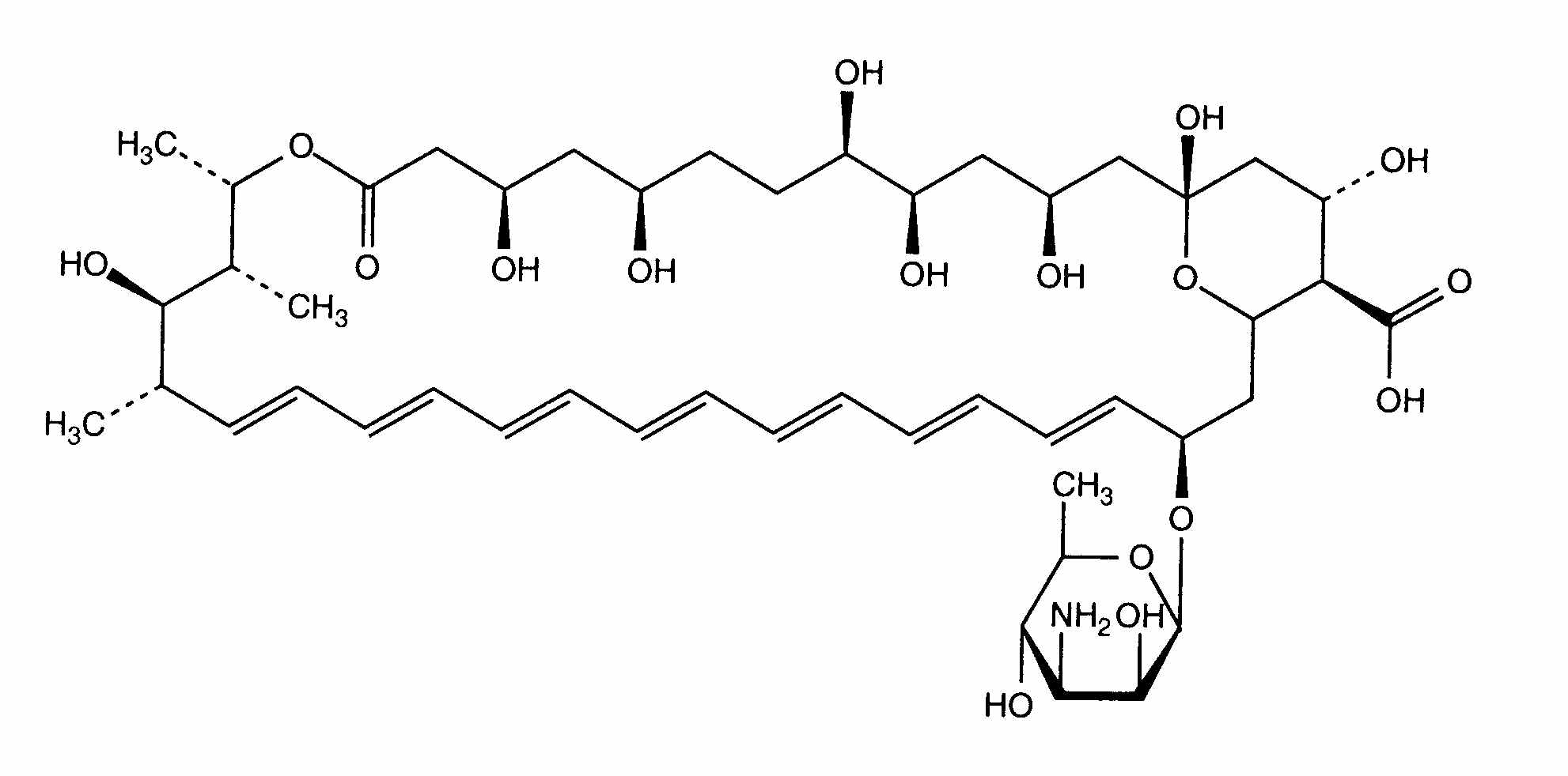
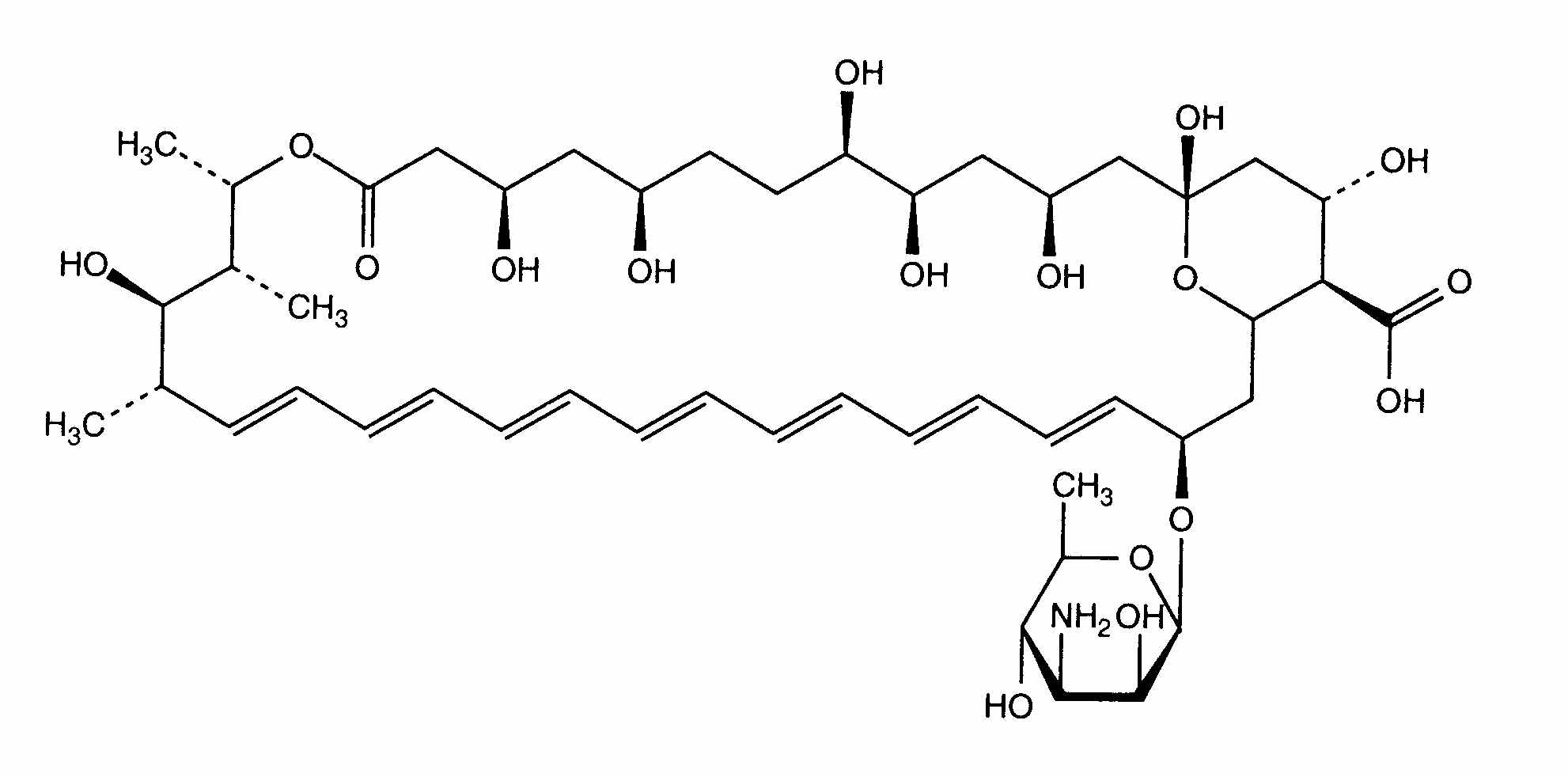
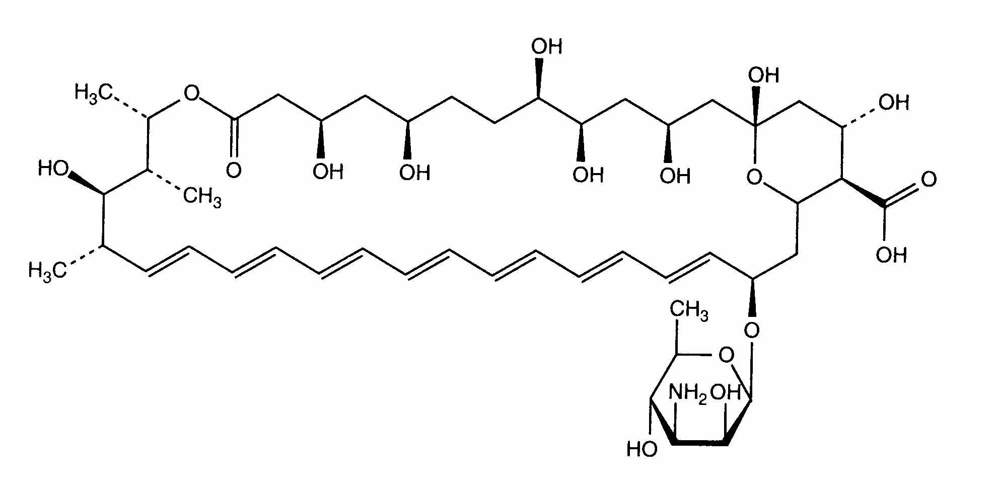
   χημική δομή  

Στοματικό διάλυμα
Σταθερότητα και συμβατότητα των φαρμάκων   Στοματικό διάλυμα   Σταθερότητα και συμβατότητα των φαρμάκων : Amphotericin B     
Υποδοχέας Origine Έκδοχο Θερμοκρασία Αποθήκευση Διάρκεια σταθερότητας Βιβλιογραφία
Ύαλος Σκόνη 3700 mg
Fungizone®
Διττανθρακικό νάτριο 1.4% >> 500 ml
19-23°C Προστατεύετε από το φως
3 Ημέρα
2820

Πολυπροπυλένιο Σκόνη 3700 mg
Fungizone®
Διττανθρακικό νάτριο 1.4% >> 500 ml
19-23°C Με ή χωρίς φως
3 Ημέρα
2820

Πολυπροπυλένιο Σκόνη 3700 mg
Fungizone®
Διττανθρακικό νάτριο 1.4% >> 500 ml
4°C Προστατεύετε από το φως
15 Ημέρα
2820


  Mentions Légales