Pēdējā atjaunošana :
27/04/2026
Pretsēnīšu līdzeklis   Amphotericin B  
Mutes skalojamais līdzeklis
Acu pilieni Aerosols Injekcija Orāls šķīdums
Stabilitāte farmaceitisko preparātu Maisījuma stabilitāte Stabilitāti ietekmējoši faktori Saderība Literatūras saraksts pdf
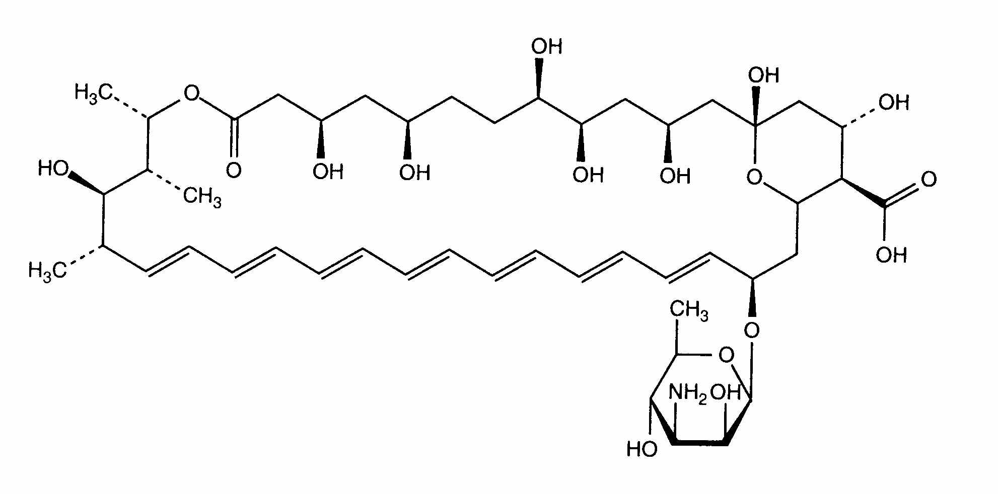
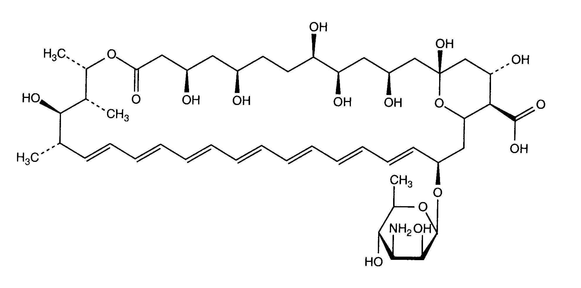
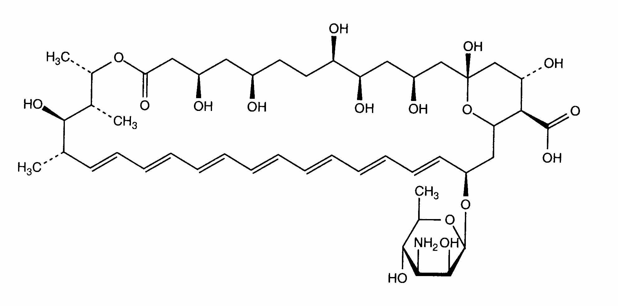
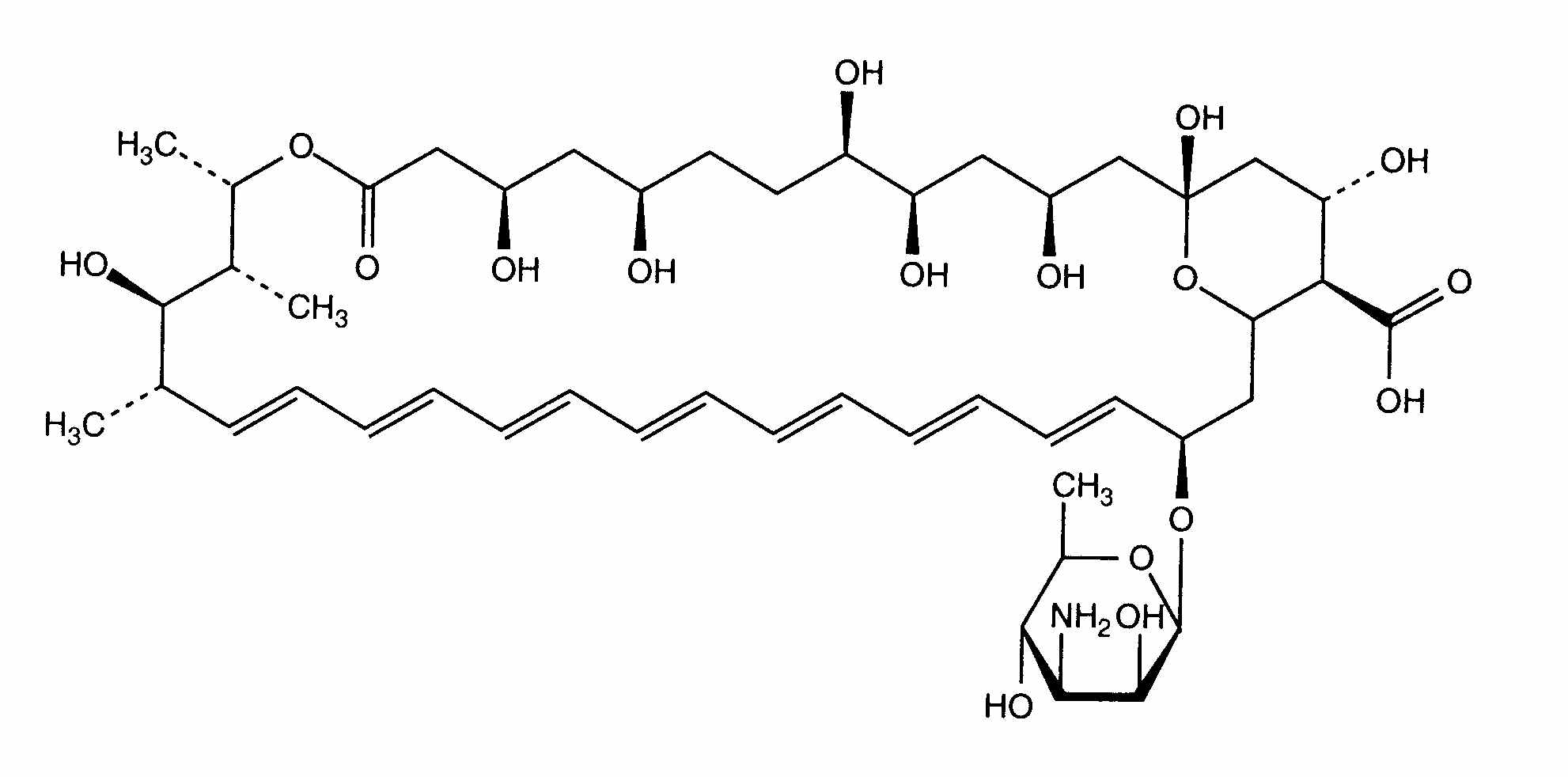
   Ķīmiskā uzbūve   

Mutes skalojamais līdzeklis
Stabilitāte farmaceitisko preparātu   Mutes skalojamais līdzeklis   Stabilitāte farmaceitisko preparātu : Amphotericin B     
Iepakojums Origine Palīgviela Temperatūra Glabāšana Stabilitātes ilgums Literatūras saraksts
Stikls Pūderis 3700 mg
Fungizone®
Nātrija bikarbonāts 1.4% >> 500 ml
19-23°C Aizsargāt no gaismas
3 Diena
2820

Polipropilēns Pūderis 3700 mg
Fungizone®
Nātrija bikarbonāts 1.4% >> 500 ml
19-23°C Ar vai bez gaismas
3 Diena
2820

Polipropilēns Pūderis 3700 mg
Fungizone®
Nātrija bikarbonāts 1.4% >> 500 ml
4°C Aizsargāt no gaismas
15 Diena
2820


  Mentions Légales