最新更新 :
31/03/2026
抗真菌薬   Amphotericin B  
含嗽薬
エアロゾル 注射薬 点眼薬 経口液
調剤時の安定性 混合時の安定性 安定性に影響する因子 互換性 引用文献 PDF
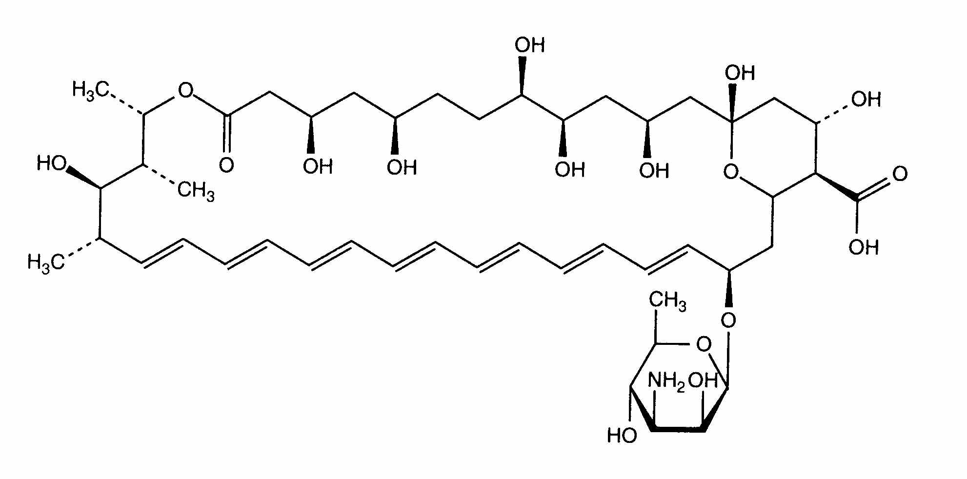
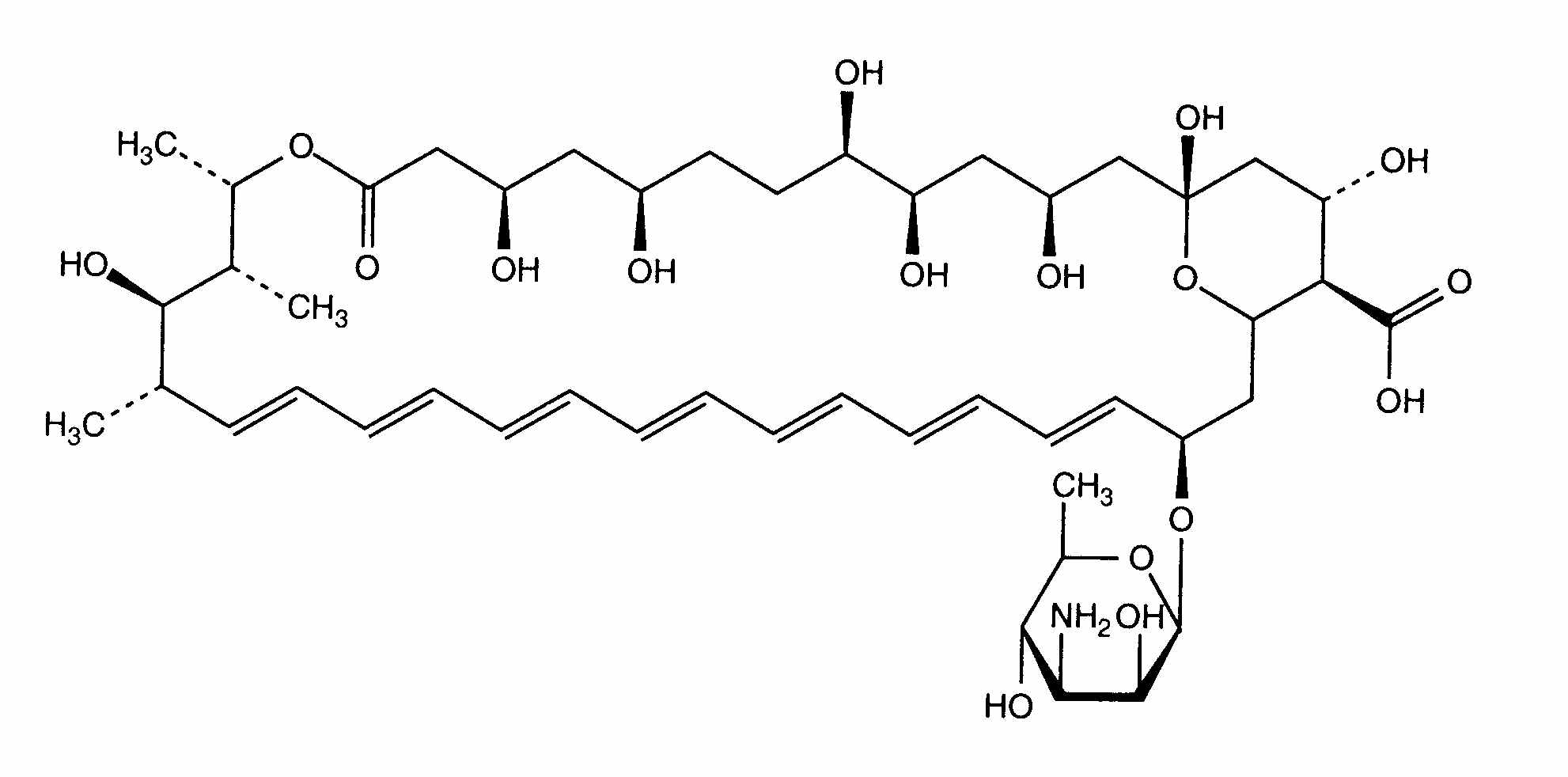
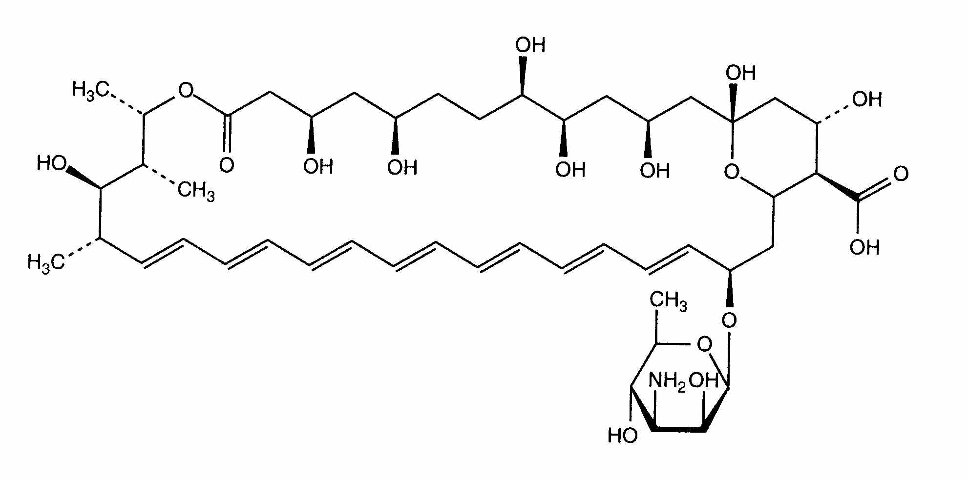
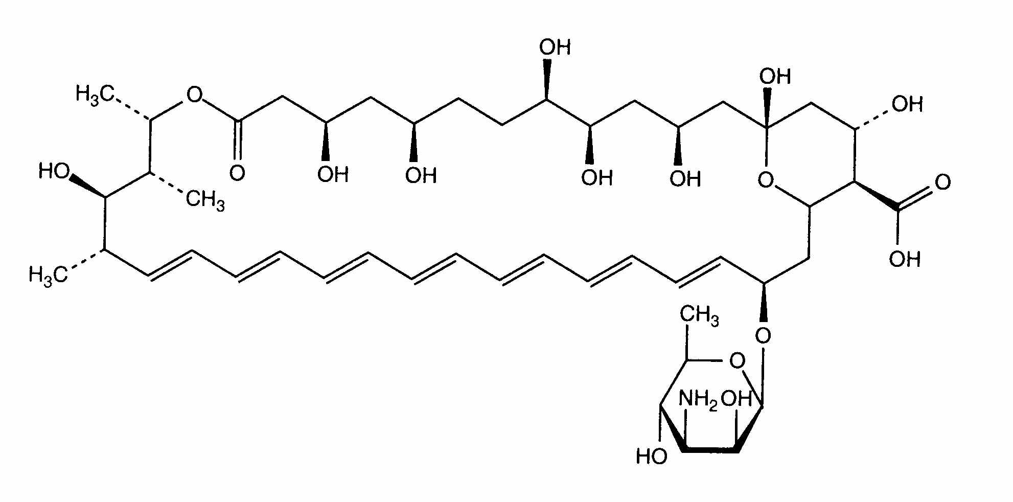
   化学構造  

含嗽薬
調剤時の安定性   含嗽薬   調剤時の安定性 : Amphotericin B     
容器 Origine 添加剤 温度 保管 安定期間 引用文献
ガラス 粉 3700 mg
Fungizone®
重炭酸ナトリウム 1.4% >> 500 ml
19-23°C 遮光
3 日
2820

ポリプロピレン 粉 3700 mg
Fungizone®
重炭酸ナトリウム 1.4% >> 500 ml
19-23°C 光/遮光
3 日
2820

ポリプロピレン 粉 3700 mg
Fungizone®
重炭酸ナトリウム 1.4% >> 500 ml
4°C 遮光
15 日
2820


  Mentions Légales