Siste oppdatering :
31/03/2026
Fungicid   Amphotericin B  
Munnvann
Aerosol Injeksjon Mikstur Øyedråper
Stabilitet av farmasøytiske preparater Stabilitet i blandinger Faktorer som påvirker stabiliteten Kompatibilitet Referanser pdf
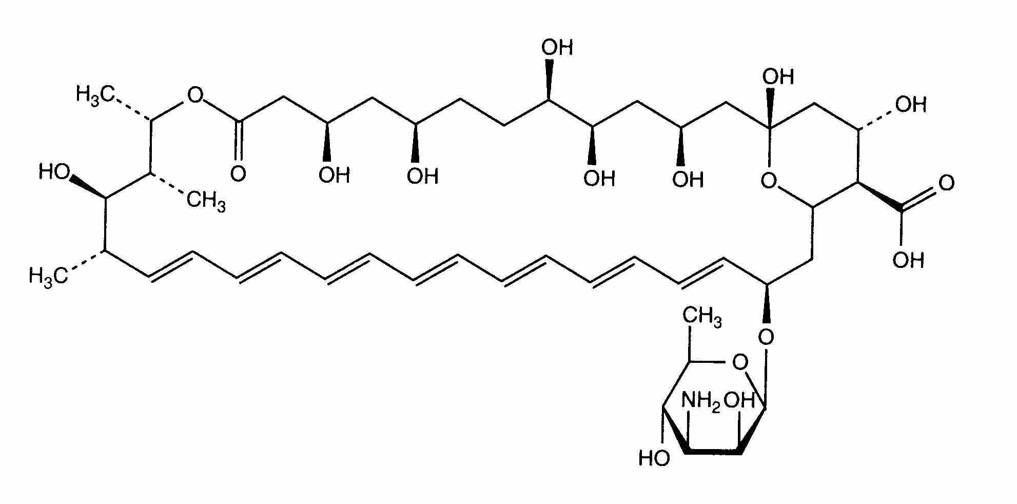
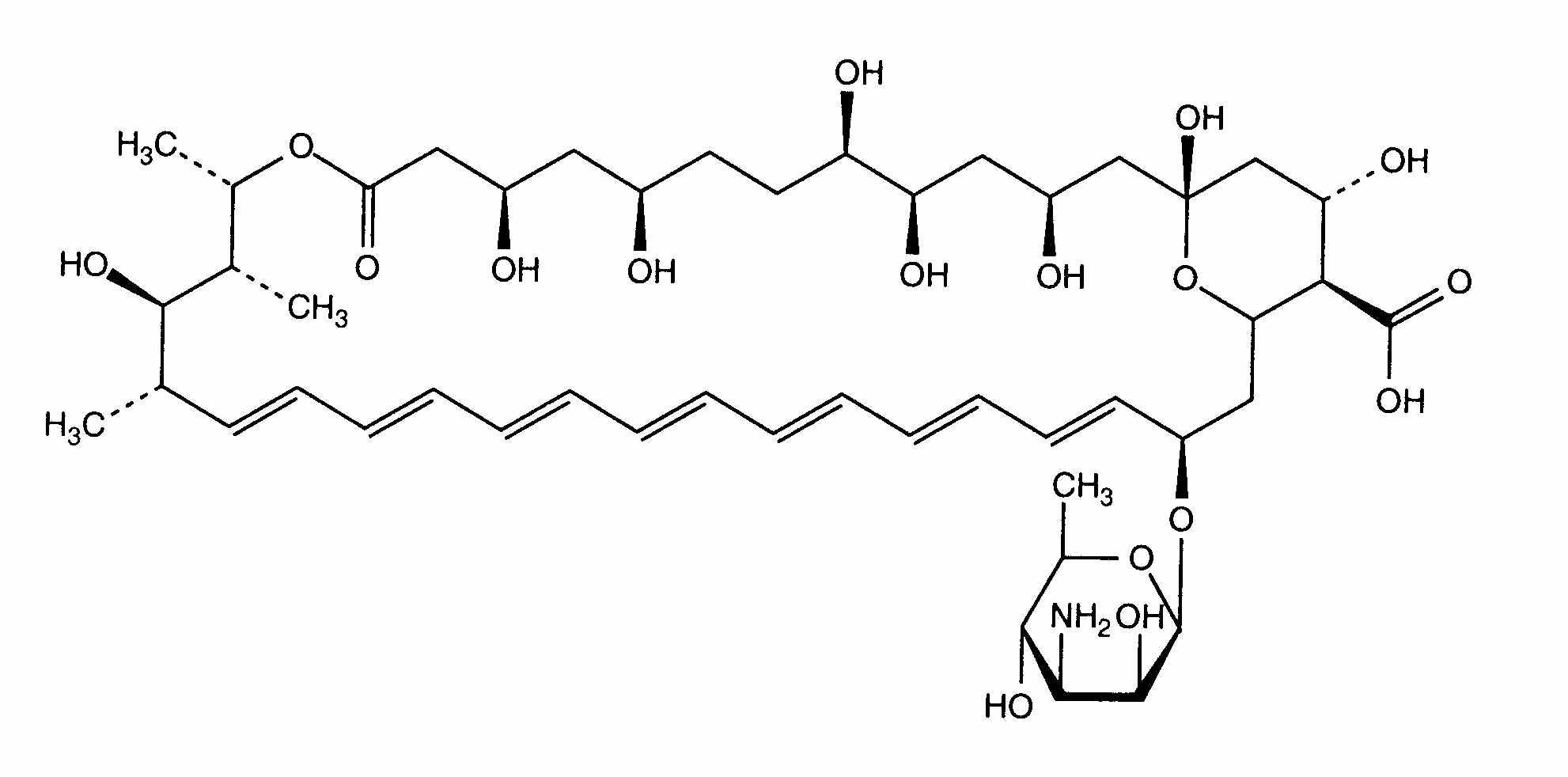
   Kjemisk struktur  

Munnvann
Stabilitet av farmasøytiske preparater   Munnvann   Stabilitet av farmasøytiske preparater : Amphotericin B     
Beholder Origine Hjelpestoff Temperatur Oppbevaring Varighet av stabilitet Referanser
Glass Pulver 3700 mg
Fungizone®
Natriumbikarbonat 1.4% >> 500 ml
19-23°C Beskyttes mot lys
3 Dag
2820

Polypropylen Pulver 3700 mg
Fungizone®
Natriumbikarbonat 1.4% >> 500 ml
19-23°C Med eller uten lys
3 Dag
2820

Polypropylen Pulver 3700 mg
Fungizone®
Natriumbikarbonat 1.4% >> 500 ml
4°C Beskyttes mot lys
15 Dag
2820


  Mentions Légales