Seneste opdatering :
31/03/2026
Antisvampe   Amphotericin B  
Mundskyllevæske
Aerosol Injektion Oral opløsning Øjendråber
Stabilitet af farmaceutiske tilberedninger Stabilitet i blandinger Faktorer der påvirker stabiliteten Kompatibilitet Bibliografi pdf
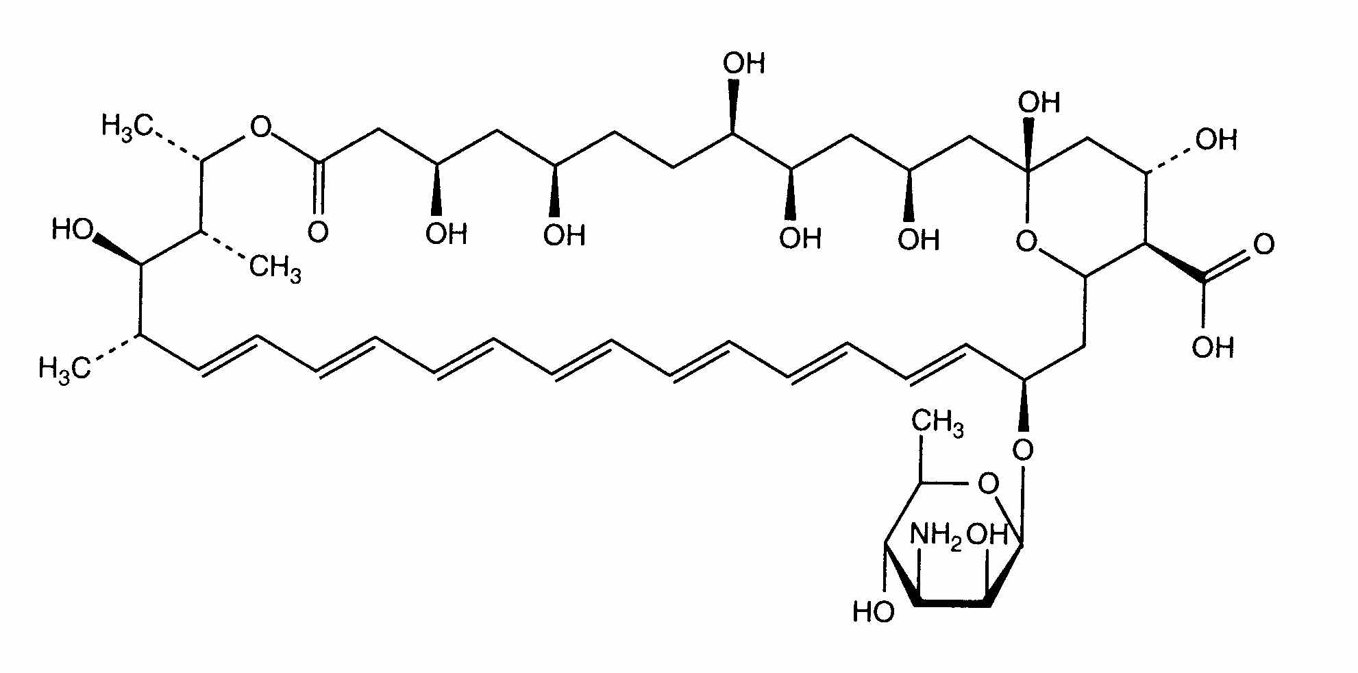
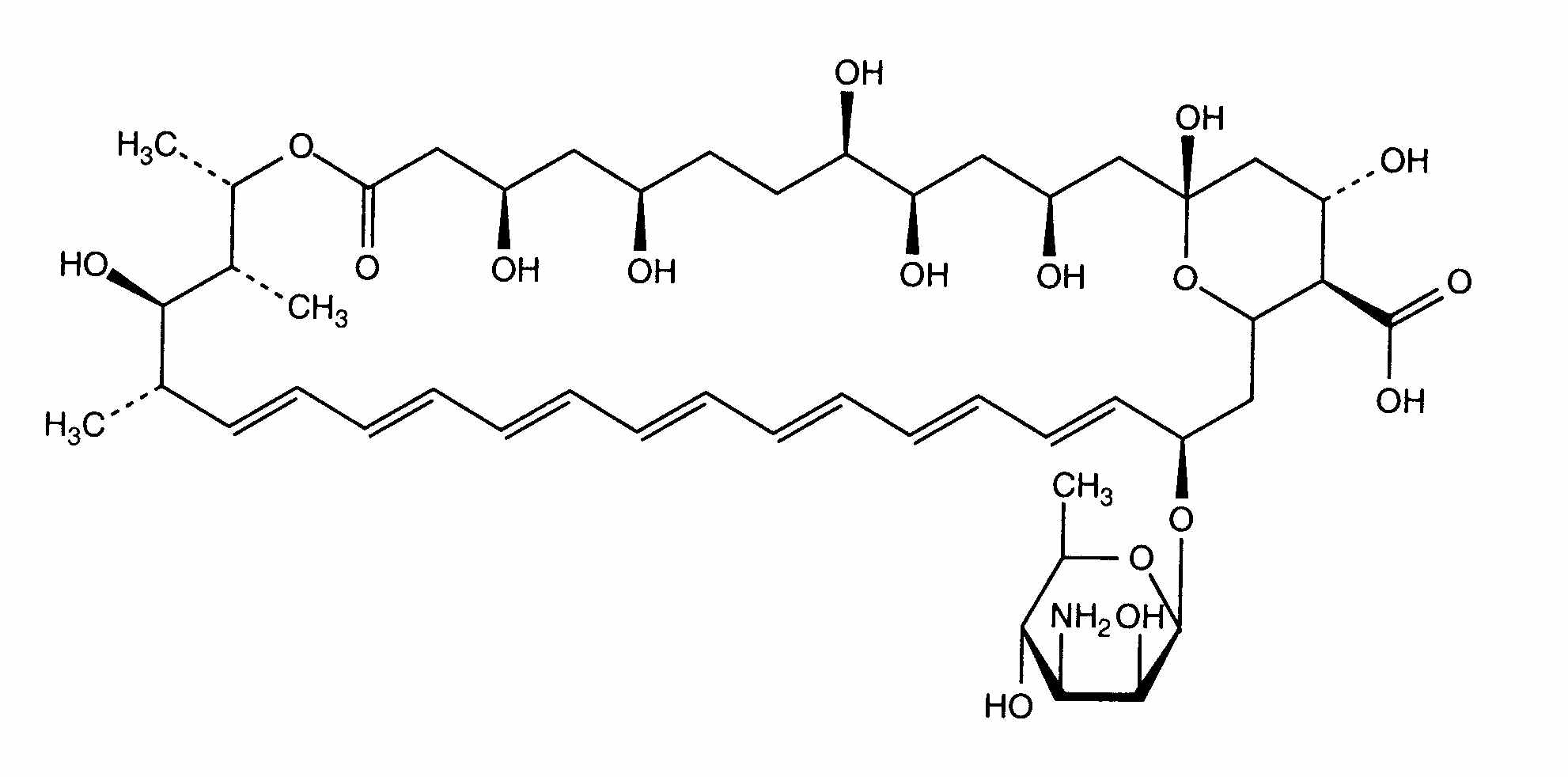
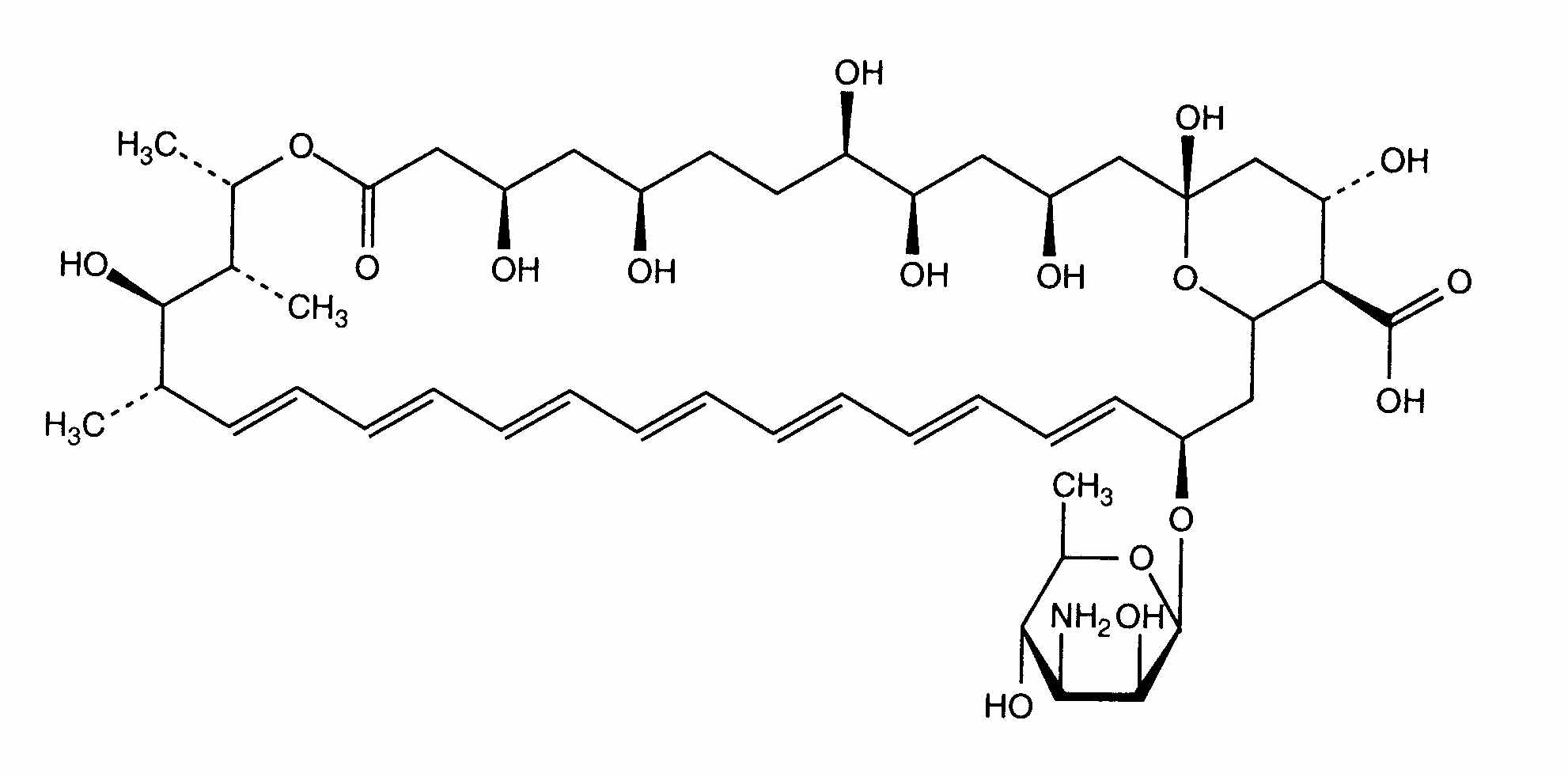
   Kemisk struktur  

Mundskyllevæske
Stabilitet af farmaceutiske tilberedninger   Mundskyllevæske   Stabilitet af farmaceutiske tilberedninger : Amphotericin B     
Beholder Origine Hjælpestof Temperatur Konservering Varighed af stabilitet Bibliografi
Glas Pulver 3700 mg
Fungizone®
Natriumbicarbonat 1.4% >> 500 ml
19-23°C Beskyt mod lys
3 Dag
2820

Polypropylen Pulver 3700 mg
Fungizone®
Natriumbicarbonat 1.4% >> 500 ml
19-23°C Med eller uden lys
3 Dag
2820

Polypropylen Pulver 3700 mg
Fungizone®
Natriumbicarbonat 1.4% >> 500 ml
4°C Beskyt mod lys
15 Dag
2820


  Mentions Légales