viimane versioon :
31/03/2026
Seenevastane ravim   Amphotericin B  
Suuloputus lahus
aerosool Silmatilgad Süsteravim suukaudne lahus
Stabiilsust ravimpreparaadid Stabiilsust mõjutavad tegurid stabiilsust mõjutavad faktorid Sobimatus Viited pdf
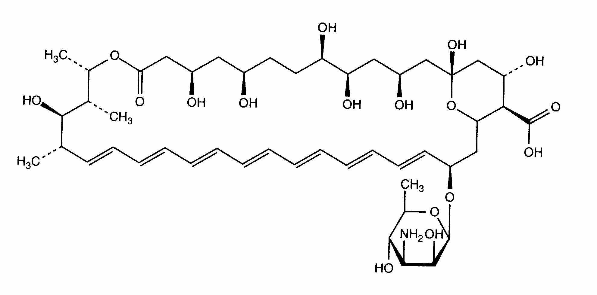
   keemiline struktuur  

Suuloputus lahus
Stabiilsust ravimpreparaadid   Suuloputus lahus   Stabiilsust ravimpreparaadid : Amphotericin B     
konteiner Origine  abiaine temperatuur ladustamine Stabiilsuse kestus Viited
klaas pulber 3700 mg
Fungizone®
Naatriumvesinikkarbonaat 1.4% >> 500 ml
19-23°C kaitsta valguse eest
3 päev
2820

polüpropüleen pulber 3700 mg
Fungizone®
Naatriumvesinikkarbonaat 1.4% >> 500 ml
19-23°C valgusega või ilma valguseta
3 päev
2820

polüpropüleen pulber 3700 mg
Fungizone®
Naatriumvesinikkarbonaat 1.4% >> 500 ml
4°C kaitsta valguse eest
15 päev
2820


  Mentions Légales