Последно актуализиране :
31/03/2026
Противогъбично средство   Amphotericin B  
Разтвор за уста
Аерозол Инжекция/Инжекционен Капки за очи Орален разтвор
Стабилност на лекарствени препарати Стабилност на смеси Фактори, повлияващи стабилността Съвместимост Библиография Pdf
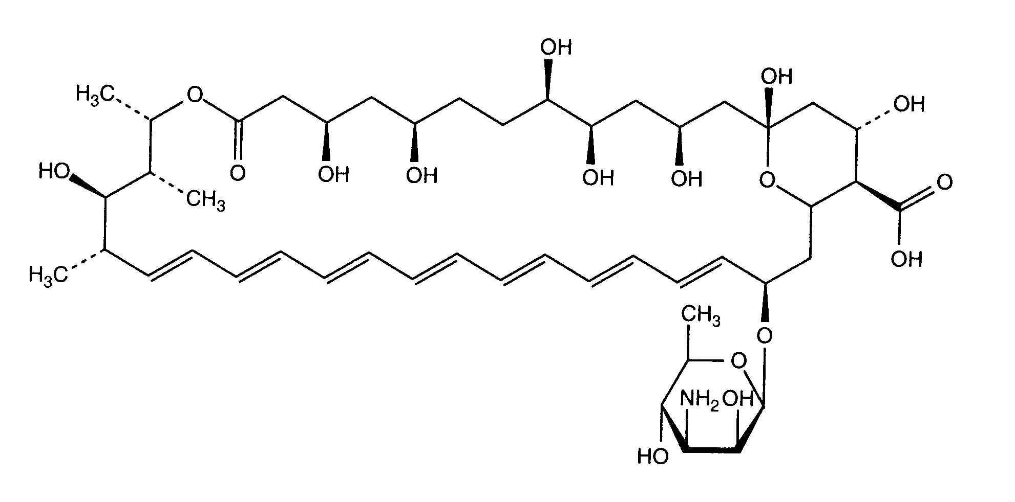
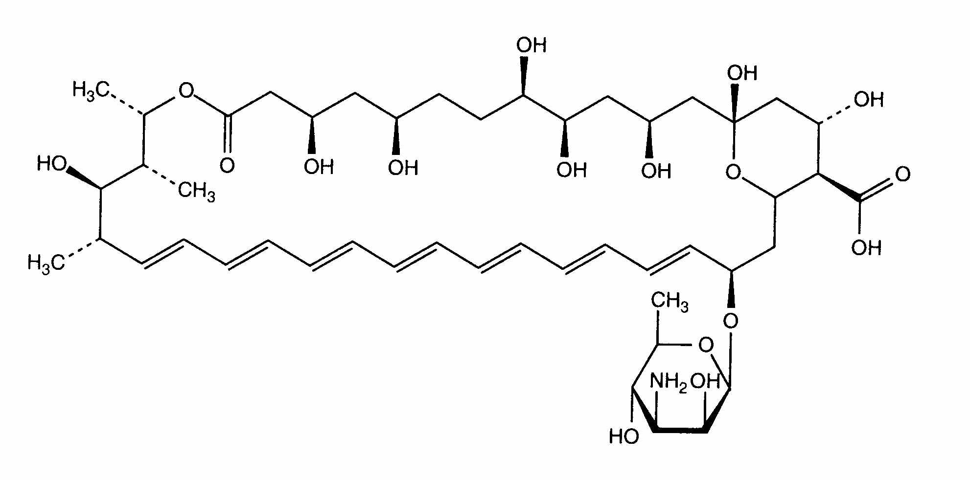
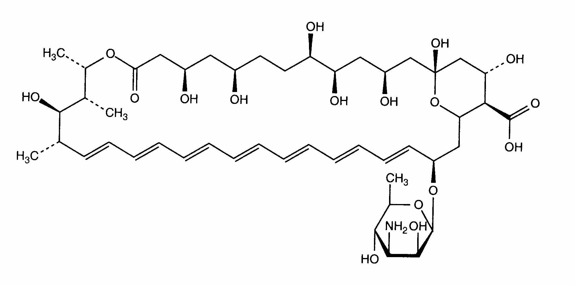
   Химична структура  

Разтвор за уста
Стабилност на лекарствени препарати   Разтвор за уста   Стабилност на лекарствени препарати : Amphotericin B     
Контейнер Origine Помощно вещество Температура Съхранение Продължителност на стабилността Библиография
Стъкло Прах 3700 mg
Fungizone®
Натриев бикарбонат 1.4% >> 500 ml
19-23°C Защита от светлина
3 Ден
2820

Полипропилен Прах 3700 mg
Fungizone®
Натриев бикарбонат 1.4% >> 500 ml
19-23°C С или без светлина
3 Ден
2820

Полипропилен Прах 3700 mg
Fungizone®
Натриев бикарбонат 1.4% >> 500 ml
4°C Защита от светлина
15 Ден
2820


  Mentions Légales