Poslední aktualizace :
27/01/2026
Protiplísňový přípravek   Amphotericin B  
kloktadlo
Aerosol Humbuk injekce Perorální roztok
Stabilita farmaceutických přípravků Stabilita směsí Faktory ovlivňující stabilitu Kompatibilita Odkazy pdf
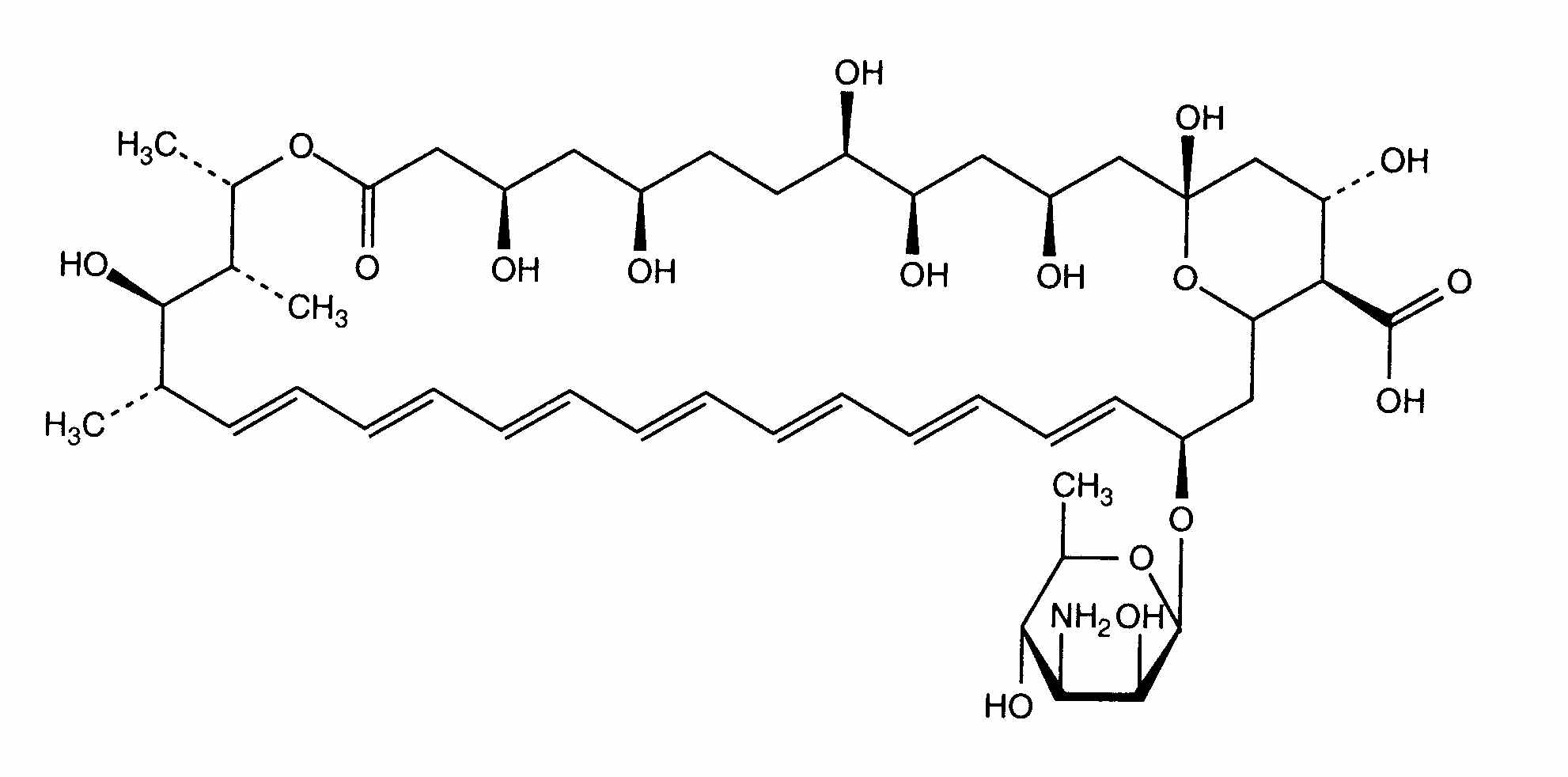
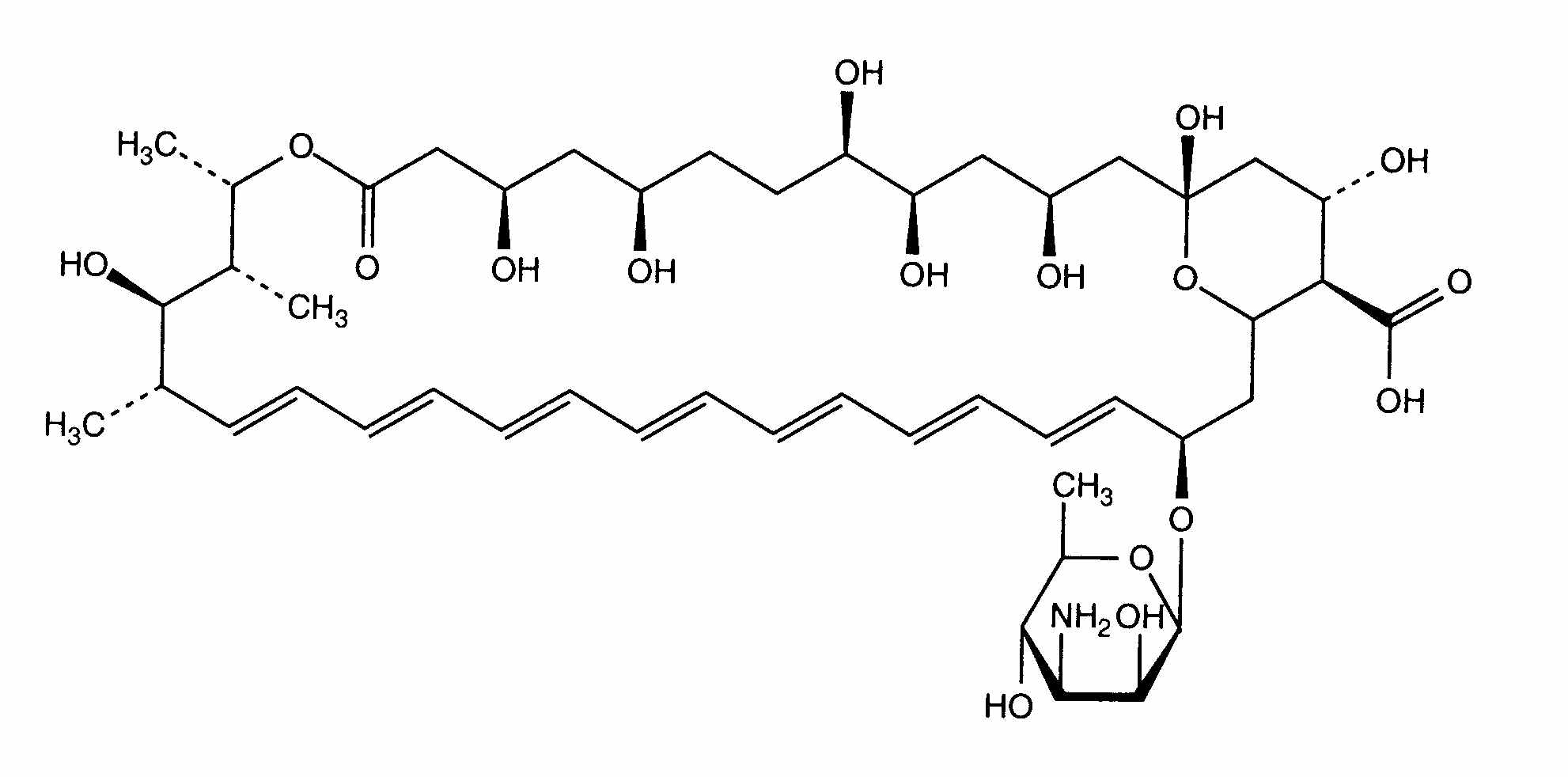
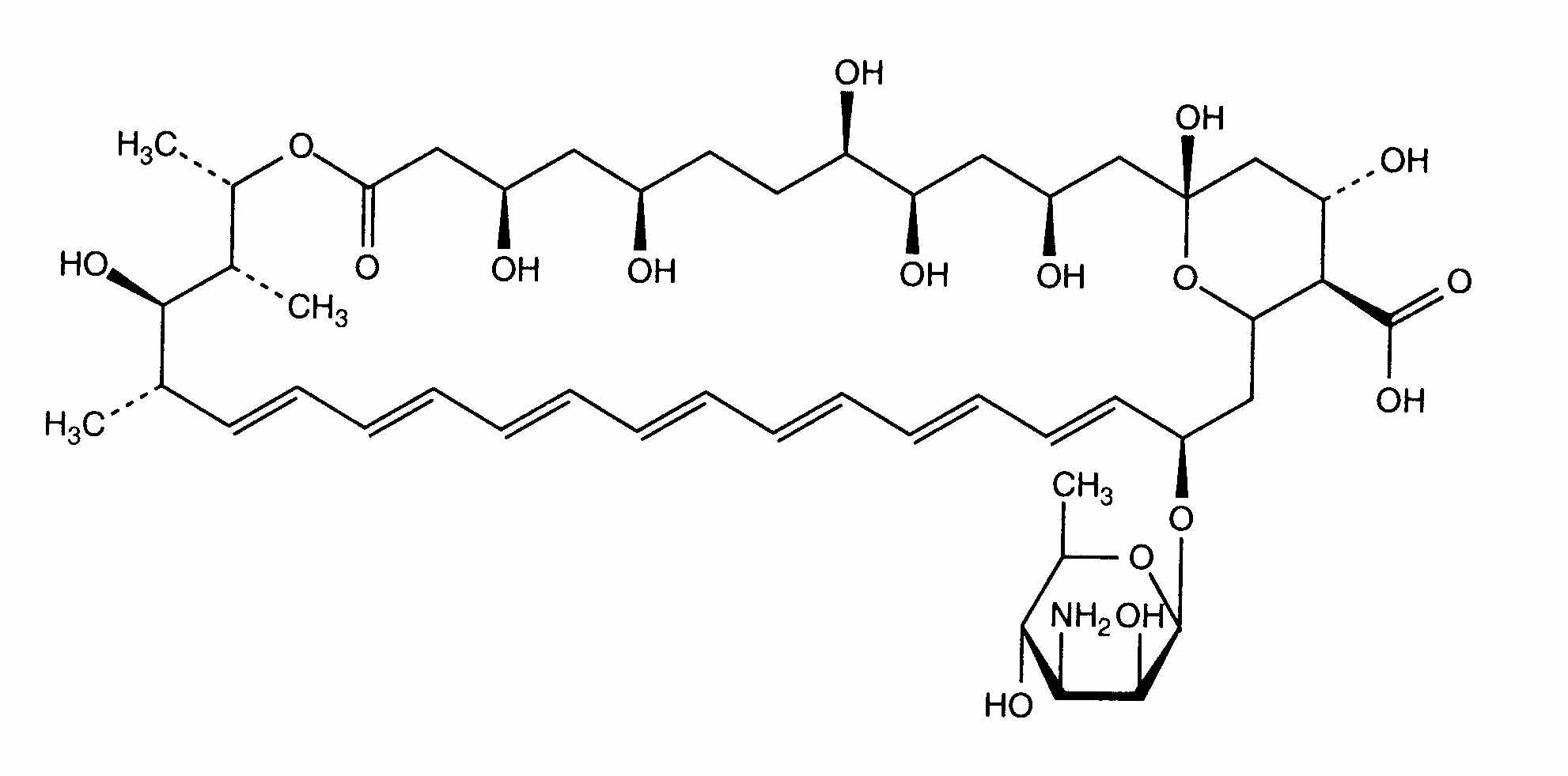
   Chemický vzorec  

kloktadlo
Stabilita farmaceutických přípravků   kloktadlo   Stabilita farmaceutických přípravků : Amphotericin B     
Obal Origine Pomocné látky Teplota Uchovávání Trvání stability Odkazy
Sklo prášek 3700 mg
Fungizone®
uhličitanu sodného 1.4% >> 500 ml
19-23°C Chráněno před světlem
3 Den
2820

polypropylen prášek 3700 mg
Fungizone®
uhličitanu sodného 1.4% >> 500 ml
19-23°C S nebo bez svÏtla
3 Den
2820

polypropylen prášek 3700 mg
Fungizone®
uhličitanu sodného 1.4% >> 500 ml
4°C Chráněno před světlem
15 Den
2820


  Mentions Légales