Cập nhật lần cuối :
27/01/2026
thuốc trị ung thư   Cabazitaxel  
Dạng tiêm
Tính ổn định của các dung dịch Độ ổn định khi trộn lẫn Những yếu tố ảnh hưởng đến độ ổn định Khả năng tương thích Đường dùng Tài liệu tham khảo Pdf
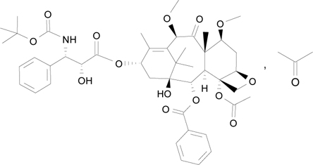
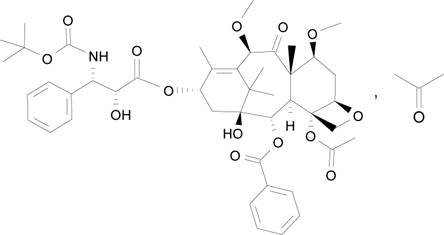
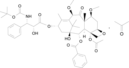
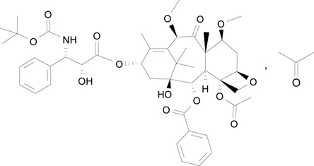
   Cấu trúc hóa học  

Tên thương mại   Tên thương mại     

Các tên thương mại được cung cấp và thành phần tá dược có thể khác nhau giữa các quốc gia và các hãng dược

Cabazil Argentina
Cabazitaxel Phần Lan, Tây Ban Nha, Đan Mạch, Đức
Cecalter Argentina
Jevtana Anh, Argentina, Bỉ, Brazil, Canada, Chile, Colombia, Ecuador, Hoa Kỳ, Iceland, Malaysia, Mexico, Na Uy, Peru, Phần Lan, Pháp, Romania, Slovenia, Tây Ban Nha, Thổ Nhĩ Kỳ, Thụy Sỹ, Úc, Ý, Đan Mạch, Đức
Proazitax Brazil
Xatiza Chile
Zitat Argentina
Tính ổn định của các dung dịch   Dạng tiêm   Tính ổn định của các dung dịch : Cabazitaxel     
Bao bì Dung môi Nồng độ Nhiệt độ Bảo quản Thời gian ổn định Mục lục
Thủy tinh Không 10 mg/ml 4°C Tránh ánh sáng
28 Ngày
3804
Cấp độ bằng chứng A

Thủy tinh dung môi cụ thể 10 mg/ml -20°C Không rõ
49 Ngày
4800
Cấp độ bằng chứng A

lọ đã qua sử dụng Không 20 mg/ml 25°C Tránh ánh sáng
28 Ngày
4761
Cấp độ bằng chứng A

Nhựa polyethylen NaCl 0,9% 0,1 >>0,26 mg/ml 25°C Tránh ánh sáng
28 Ngày
4761
Cấp độ bằng chứng A

Nhựa polyethylen Glucose 5% 0,1 >>0,26 mg/ml 25°C Tránh ánh sáng
28 Ngày
4761
Cấp độ bằng chứng A

Nhựa polypropylen NaCl 0,9% 0,1 >>0,26 mg/ml 2-8°C Tránh ánh sáng
28 Ngày
4761
Cấp độ bằng chứng A

Nhựa polypropylen Glucose 5% 0,1 >>0,26 mg/ml 2-8°C Tránh ánh sáng
28 Ngày
4761
Cấp độ bằng chứng A

Nhựa polyolefin NaCl 0,9% 0,1 mg/ml -20°C Không rõ
49 Ngày
4800
Cấp độ bằng chứng A

Nhựa polyolefin NaCl 0,9% 0,1 mg/ml 25°C Không rõ
21 Ngày
4800
Cấp độ bằng chứng A

Nhựa polyolefin NaCl 0,9% 0,1 mg/ml 4°C Không rõ
21 Ngày
4800
Cấp độ bằng chứng A

Nhựa polyolefin NaCl 0,9% 0,1 >>0,26 mg/ml 25°C Tránh ánh sáng
28 Ngày
4761
Cấp độ bằng chứng A

Nhựa polyolefin NaCl 0,9% 0,10 >> 0,26 mg/ml 2-8°C Không rõ
48 Giờ
3237
Các dữ liệu về độ ổn định của nhà sản xuất

Nhựa polyolefin NaCl 0,9% 0,10 >> 0,26 mg/ml 25°C Không rõ
8 Giờ
3237
Các dữ liệu về độ ổn định của nhà sản xuất

Nhựa polyolefin NaCl 0,9% 0,15 mg/ml 25°C Tránh ánh sáng
28 Ngày
3804
Cấp độ bằng chứng A

Nhựa polyolefin NaCl 0,9% 0,15 mg/ml 4°C Tránh ánh sáng
28 Ngày
3804
Cấp độ bằng chứng A

Nhựa polyolefin NaCl 0,9% 0,26 mg/ml -20°C Không rõ
49 Ngày
4800
Cấp độ bằng chứng A

Nhựa polyolefin NaCl 0,9% 0,26 mg/ml 25°C Không rõ
21 Ngày
4800
Cấp độ bằng chứng A

Nhựa polyolefin NaCl 0,9% 0,26 mg/ml 4°C Không rõ
21 Ngày
4800
Cấp độ bằng chứng A

Nhựa polyolefin Glucose 5% 0,1 mg/ml -20°C Không rõ
49 Ngày
4800
Cấp độ bằng chứng A

Nhựa polyolefin Glucose 5% 0,1 mg/ml 25°C Không rõ
21 Ngày
4800
Cấp độ bằng chứng A

Nhựa polyolefin Glucose 5% 0,1 mg/ml 4°C Không rõ
21 Ngày
4800
Cấp độ bằng chứng A

Nhựa polyolefin Glucose 5% 0,1 >>0,26 mg/ml 25°C Tránh ánh sáng
28 Ngày
4761
Cấp độ bằng chứng A

Nhựa polyolefin Glucose 5% 0,10 >> 0,26 mg/ml 2-8°C Không rõ
48 Giờ
3237
Các dữ liệu về độ ổn định của nhà sản xuất

Nhựa polyolefin Glucose 5% 0,10 >> 0,26 mg/ml 25°C Không rõ
8 Giờ
3237
Các dữ liệu về độ ổn định của nhà sản xuất

Nhựa polyolefin Glucose 5% 0,26 mg/ml -20°C Không rõ
49 Ngày
4800
Cấp độ bằng chứng A

Nhựa polyolefin Glucose 5% 0,26 mg/ml 25°C Không rõ
21 Ngày
4800
Cấp độ bằng chứng A

Nhựa polyolefin Glucose 5% 0,26 mg/ml 4°C Không rõ
21 Ngày
4800
Cấp độ bằng chứng A


  Mentions Légales