Dernière mise à jour :
27/01/2026
Anticancéreux   Cabazitaxel  
injectable
Stabilité des solutions Stabilité en mélange Facteur influençant la stabilité Compatibilités Voie d’administration Bibliographie pdf
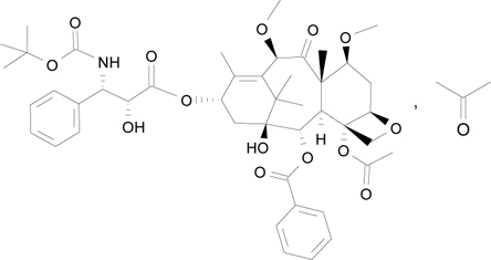
   Structure chimique  

Noms commerciaux   Noms commerciaux     

Les noms commerciaux sont donnés à titre indicatif et la composition en excipients peut être différente selon les pays et selon les laboratoires

Cabazil Argentine
Cabazitaxel Allemagne, Danemark, Espagne, Finlande
Cecalter Argentine
Jevtana Allemagne, Argentine, Australie, Belgique, Brésil, Canada, Chili, Colombie, Danemark, Equateur, Espagne, Etats Unis d’Amérique, Finlande, France, Grande Bretagne, Islande, Italie, Malaisie, Mexique, Norvège, Pérou, Roumanie, Slovénie, Suisse, Turquie
Proazitax Brésil
Xatiza Chili
Zitat Argentine
Stabilité des solutions   injectable   Stabilité des solutions : Cabazitaxel     
Contenant Solvant Concentration Température Conservation Durée de stabilité Bibliographie
Verre Aucun 10 mg/ml 4°C A l’abri de la lumière
28 Jour
3804
Niveau de preuve A

Verre Solvant spécifique 10 mg/ml -20°C Non précisée
49 Jour
4800
Niveau de preuve A

Flacon entamé Aucun 20 mg/ml 25°C A l’abri de la lumière
28 Jour
4761
Niveau de preuve A

Polyéthylène Chlorure de sodium 0,9% 0,1 >>0,26 mg/ml 25°C A l’abri de la lumière
28 Jour
4761
Niveau de preuve A

Polyéthylène Glucose 5% 0,1 >>0,26 mg/ml 25°C A l’abri de la lumière
28 Jour
4761
Niveau de preuve A

Polypropylène Chlorure de sodium 0,9% 0,1 >>0,26 mg/ml 2-8°C A l’abri de la lumière
28 Jour
4761
Niveau de preuve A

Polypropylène Glucose 5% 0,1 >>0,26 mg/ml 2-8°C A l’abri de la lumière
28 Jour
4761
Niveau de preuve A

Polyolefine Chlorure de sodium 0,9% 0,1 mg/ml -20°C Non précisée
49 Jour
4800
Niveau de preuve A

Polyolefine Chlorure de sodium 0,9% 0,1 mg/ml 25°C Non précisée
21 Jour
4800
Niveau de preuve A

Polyolefine Chlorure de sodium 0,9% 0,1 mg/ml 4°C Non précisée
21 Jour
4800
Niveau de preuve A

Polyolefine Chlorure de sodium 0,9% 0,1 >>0,26 mg/ml 25°C A l’abri de la lumière
28 Jour
4761
Niveau de preuve A

Polyolefine Chlorure de sodium 0,9% 0,10 >> 0,26 mg/ml 2-8°C Non précisée
48 Heure
3237
Données de stabilité du fabricant

Polyolefine Chlorure de sodium 0,9% 0,10 >> 0,26 mg/ml 25°C Non précisée
8 Heure
3237
Données de stabilité du fabricant

Polyolefine Chlorure de sodium 0,9% 0,15 mg/ml 25°C A l’abri de la lumière
28 Jour
3804
Niveau de preuve A

Polyolefine Chlorure de sodium 0,9% 0,15 mg/ml 4°C A l’abri de la lumière
28 Jour
3804
Niveau de preuve A

Polyolefine Chlorure de sodium 0,9% 0,26 mg/ml -20°C Non précisée
49 Jour
4800
Niveau de preuve A

Polyolefine Chlorure de sodium 0,9% 0,26 mg/ml 25°C Non précisée
21 Jour
4800
Niveau de preuve A

Polyolefine Chlorure de sodium 0,9% 0,26 mg/ml 4°C Non précisée
21 Jour
4800
Niveau de preuve A

Polyolefine Glucose 5% 0,1 mg/ml -20°C Non précisée
49 Jour
4800
Niveau de preuve A

Polyolefine Glucose 5% 0,1 mg/ml 25°C Non précisée
21 Jour
4800
Niveau de preuve A

Polyolefine Glucose 5% 0,1 mg/ml 4°C Non précisée
21 Jour
4800
Niveau de preuve A

Polyolefine Glucose 5% 0,1 >>0,26 mg/ml 25°C A l’abri de la lumière
28 Jour
4761
Niveau de preuve A

Polyolefine Glucose 5% 0,10 >> 0,26 mg/ml 2-8°C Non précisée
48 Heure
3237
Données de stabilité du fabricant

Polyolefine Glucose 5% 0,10 >> 0,26 mg/ml 25°C Non précisée
8 Heure
3237
Données de stabilité du fabricant

Polyolefine Glucose 5% 0,26 mg/ml -20°C Non précisée
49 Jour
4800
Niveau de preuve A

Polyolefine Glucose 5% 0,26 mg/ml 25°C Non précisée
21 Jour
4800
Niveau de preuve A

Polyolefine Glucose 5% 0,26 mg/ml 4°C Non précisée
21 Jour
4800
Niveau de preuve A


  Mentions Légales