最新更新 :
27/04/2026
細胞増殖抑制薬   Cabazitaxel  
注射薬
溶媒内の安定性 混合時の安定性 安定性に影響する因子 互換性 投与経路 引用文献 PDF
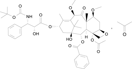
   化学構造  

商品名   商品名     

商品名、賦形剤は国、製薬会社ごとに異なることがあります

Cabazil アルゼンチン
Cabazitaxel スペイン, デンマーク, ドイツ, フィンランド
Cecalter アルゼンチン
Jevtana アイスランド, アイルランド, アメリカ, アルゼンチン, アーストラリア, イギリス, イタリア, エクアドル, カナダ, クロアチア, コロンビア, スイス, スウェーデン, スペイン, スロベニア, チリ, デンマーク, トルコ, ドイツ, ノルウェー, ハンガリー, フィンランド, フランス, ブラジル, ベルギー, ペルー, マレーシア, メキシコ, ルクセンブルグ, ルーマニア
Proazitax ブラジル
Xatiza チリ, ペルー
Zitat アルゼンチン, コロンビア
溶媒内の安定性   注射薬   溶媒内の安定性 : Cabazitaxel     
容器 溶媒 濃度 温度 保管 安定期間 引用文献
ガラス なし 10 mg/ml 4°C 遮光
28 日
3804
エビデンスレベル A

ガラス 特定の溶媒 10 mg/ml -20°C 特記なし
49 日
4800
エビデンスレベル A

一部使用済みのボトル なし 20 mg/ml 25°C 遮光
28 日
4761
エビデンスレベル A

ポリエチレン NaCl 0,9% 0,1 >>0,26 mg/ml 25°C 遮光
28 日
4761
エビデンスレベル A

ポリエチレン グルコース5% 0,1 >>0,26 mg/ml 25°C 遮光
28 日
4761
エビデンスレベル A

ポリプロピレン NaCl 0,9% 0,1 >>0,26 mg/ml 2-8°C 遮光
28 日
4761
エビデンスレベル A

ポリプロピレン グルコース5% 0,1 >>0,26 mg/ml 2-8°C 遮光
28 日
4761
エビデンスレベル A

ポリオレフィン NaCl 0,9% 0,1 mg/ml -20°C 特記なし
49 日
4800
エビデンスレベル A

ポリオレフィン NaCl 0,9% 0,1 mg/ml 25°C 特記なし
21 日
4800
エビデンスレベル A

ポリオレフィン NaCl 0,9% 0,1 mg/ml 4°C 特記なし
21 日
4800
エビデンスレベル A

ポリオレフィン NaCl 0,9% 0,1 >>0,26 mg/ml 25°C 遮光
28 日
4761
エビデンスレベル A

ポリオレフィン NaCl 0,9% 0,10 >> 0,26 mg/ml 2-8°C 特記なし
48 時間
3237
製薬会社の安定性データ

ポリオレフィン NaCl 0,9% 0,10 >> 0,26 mg/ml 25°C 特記なし
8 時間
3237
製薬会社の安定性データ

ポリオレフィン NaCl 0,9% 0,15 mg/ml 25°C 遮光
28 日
3804
エビデンスレベル A

ポリオレフィン NaCl 0,9% 0,15 mg/ml 4°C 遮光
28 日
3804
エビデンスレベル A

ポリオレフィン NaCl 0,9% 0,26 mg/ml -20°C 特記なし
49 日
4800
エビデンスレベル A

ポリオレフィン NaCl 0,9% 0,26 mg/ml 25°C 特記なし
21 日
4800
エビデンスレベル A

ポリオレフィン NaCl 0,9% 0,26 mg/ml 4°C 特記なし
21 日
4800
エビデンスレベル A

ポリオレフィン グルコース5% 0,1 mg/ml -20°C 特記なし
49 日
4800
エビデンスレベル A

ポリオレフィン グルコース5% 0,1 mg/ml 25°C 特記なし
21 日
4800
エビデンスレベル A

ポリオレフィン グルコース5% 0,1 mg/ml 4°C 特記なし
21 日
4800
エビデンスレベル A

ポリオレフィン グルコース5% 0,1 >>0,26 mg/ml 25°C 遮光
28 日
4761
エビデンスレベル A

ポリオレフィン グルコース5% 0,10 >> 0,26 mg/ml 2-8°C 特記なし
48 時間
3237
製薬会社の安定性データ

ポリオレフィン グルコース5% 0,10 >> 0,26 mg/ml 25°C 特記なし
8 時間
3237
製薬会社の安定性データ

ポリオレフィン グルコース5% 0,26 mg/ml -20°C 特記なし
49 日
4800
エビデンスレベル A

ポリオレフィン グルコース5% 0,26 mg/ml 25°C 特記なし
21 日
4800
エビデンスレベル A

ポリオレフィン グルコース5% 0,26 mg/ml 4°C 特記なし
21 日
4800
エビデンスレベル A


  Mentions Légales