Τελευταία ενημέρωση :
27/01/2026
φάρμακο κατά του καρκίνου   Cabazitaxel  
Ενέσιμο
Σταθερότητα διαλυμάτων Σταθερότητα σε μίγματα Παράγοντας που επηρεάζει τη σταθερότητα Συμβατότητες Τρόπος χορήγησης Βιβλιογραφία pdf
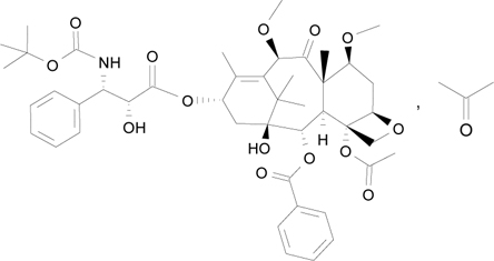
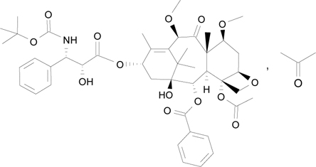
   χημική δομή  

Εμπορική ονομασία   Εμπορική ονομασία     

Οι εμπορικές ονομασίες είναι ενδεικτικές και η σύνθεση των εκδόχων μπορεί να διαφέρει ανάλογα με τη χώρα και τα εργαστήρια

Cabazil Αργεντινή
Cabazitaxel Γερμανία, Δανία, Ισπανία, Φινλανδία
Cecalter Αργεντινή
Jevtana Αργεντινή, Αυστραλία, Βέλγιο, Βραζιλία, Γαλλία, Γερμανία, Δανία, Εκουαδόρ, Ελβετία, Η.Π.Α., Ισλανδία, Ισπανία, Ιταλία, Καναδάς, Κολομβία, Μαλαισία, Μεγάλη Βρετανία, Μεξικό, Νορβηγία, Περού, Ρουμανία, Σλοβενία, Τουρκία, Φινλανδία, Χιλή
Proazitax Βραζιλία
Xatiza Χιλή
Zitat Αργεντινή
Σταθερότητα διαλυμάτων   Ενέσιμο   Σταθερότητα διαλυμάτων : Cabazitaxel     
Υποδοχέας Διαλυτικό Συγκέντρωση Θερμοκρασία Αποθήκευση Διάρκεια σταθερότητας Βιβλιογραφία
Ύαλος Ουδέν 10 mg/ml 4°C Προστατεύετε από το φως
28 Ημέρα
3804
Επίπεδο των αποδεικτικών στοιχείων A

Ύαλος Ειδικά διαλύτη 10 mg/ml -20°C Απροσδιόριστο
49 Ημέρα
4800
Επίπεδο των αποδεικτικών στοιχείων A

μερικώς χρησιμοποιημένα μπουκάλια Ουδέν 20 mg/ml 25°C Προστατεύετε από το φως
28 Ημέρα
4761
Επίπεδο των αποδεικτικών στοιχείων A

Πολυαιθυλένιο Χλωριούχο νάτριο 0,9% 0,1 >>0,26 mg/ml 25°C Προστατεύετε από το φως
28 Ημέρα
4761
Επίπεδο των αποδεικτικών στοιχείων A

Πολυαιθυλένιο Γλυκόζη 5% 0,1 >>0,26 mg/ml 25°C Προστατεύετε από το φως
28 Ημέρα
4761
Επίπεδο των αποδεικτικών στοιχείων A

Πολυπροπυλένιο Χλωριούχο νάτριο 0,9% 0,1 >>0,26 mg/ml 2-8°C Προστατεύετε από το φως
28 Ημέρα
4761
Επίπεδο των αποδεικτικών στοιχείων A

Πολυπροπυλένιο Γλυκόζη 5% 0,1 >>0,26 mg/ml 2-8°C Προστατεύετε από το φως
28 Ημέρα
4761
Επίπεδο των αποδεικτικών στοιχείων A

Πολυολεφίνη Χλωριούχο νάτριο 0,9% 0,1 mg/ml -20°C Απροσδιόριστο
49 Ημέρα
4800
Επίπεδο των αποδεικτικών στοιχείων A

Πολυολεφίνη Χλωριούχο νάτριο 0,9% 0,1 mg/ml 25°C Απροσδιόριστο
21 Ημέρα
4800
Επίπεδο των αποδεικτικών στοιχείων A

Πολυολεφίνη Χλωριούχο νάτριο 0,9% 0,1 mg/ml 4°C Απροσδιόριστο
21 Ημέρα
4800
Επίπεδο των αποδεικτικών στοιχείων A

Πολυολεφίνη Χλωριούχο νάτριο 0,9% 0,1 >>0,26 mg/ml 25°C Προστατεύετε από το φως
28 Ημέρα
4761
Επίπεδο των αποδεικτικών στοιχείων A

Πολυολεφίνη Χλωριούχο νάτριο 0,9% 0,10 >> 0,26 mg/ml 2-8°C Απροσδιόριστο
48 Ώρα
3237
Δεδομένα σταθερότητας του κατασκευαστή/ών

Πολυολεφίνη Χλωριούχο νάτριο 0,9% 0,10 >> 0,26 mg/ml 25°C Απροσδιόριστο
8 Ώρα
3237
Δεδομένα σταθερότητας του κατασκευαστή/ών

Πολυολεφίνη Χλωριούχο νάτριο 0,9% 0,15 mg/ml 25°C Προστατεύετε από το φως
28 Ημέρα
3804
Επίπεδο των αποδεικτικών στοιχείων A

Πολυολεφίνη Χλωριούχο νάτριο 0,9% 0,15 mg/ml 4°C Προστατεύετε από το φως
28 Ημέρα
3804
Επίπεδο των αποδεικτικών στοιχείων A

Πολυολεφίνη Χλωριούχο νάτριο 0,9% 0,26 mg/ml -20°C Απροσδιόριστο
49 Ημέρα
4800
Επίπεδο των αποδεικτικών στοιχείων A

Πολυολεφίνη Χλωριούχο νάτριο 0,9% 0,26 mg/ml 25°C Απροσδιόριστο
21 Ημέρα
4800
Επίπεδο των αποδεικτικών στοιχείων A

Πολυολεφίνη Χλωριούχο νάτριο 0,9% 0,26 mg/ml 4°C Απροσδιόριστο
21 Ημέρα
4800
Επίπεδο των αποδεικτικών στοιχείων A

Πολυολεφίνη Γλυκόζη 5% 0,1 mg/ml -20°C Απροσδιόριστο
49 Ημέρα
4800
Επίπεδο των αποδεικτικών στοιχείων A

Πολυολεφίνη Γλυκόζη 5% 0,1 mg/ml 25°C Απροσδιόριστο
21 Ημέρα
4800
Επίπεδο των αποδεικτικών στοιχείων A

Πολυολεφίνη Γλυκόζη 5% 0,1 mg/ml 4°C Απροσδιόριστο
21 Ημέρα
4800
Επίπεδο των αποδεικτικών στοιχείων A

Πολυολεφίνη Γλυκόζη 5% 0,1 >>0,26 mg/ml 25°C Προστατεύετε από το φως
28 Ημέρα
4761
Επίπεδο των αποδεικτικών στοιχείων A

Πολυολεφίνη Γλυκόζη 5% 0,10 >> 0,26 mg/ml 2-8°C Απροσδιόριστο
48 Ώρα
3237
Δεδομένα σταθερότητας του κατασκευαστή/ών

Πολυολεφίνη Γλυκόζη 5% 0,10 >> 0,26 mg/ml 25°C Απροσδιόριστο
8 Ώρα
3237
Δεδομένα σταθερότητας του κατασκευαστή/ών

Πολυολεφίνη Γλυκόζη 5% 0,26 mg/ml -20°C Απροσδιόριστο
49 Ημέρα
4800
Επίπεδο των αποδεικτικών στοιχείων A

Πολυολεφίνη Γλυκόζη 5% 0,26 mg/ml 25°C Απροσδιόριστο
21 Ημέρα
4800
Επίπεδο των αποδεικτικών στοιχείων A

Πολυολεφίνη Γλυκόζη 5% 0,26 mg/ml 4°C Απροσδιόριστο
21 Ημέρα
4800
Επίπεδο των αποδεικτικών στοιχείων A


  Mentions Légales