Last update :
27/01/2026
Anticancer drug   Cabazitaxel  
injection
Stability in solutions Stability of mixtures Factors which affect stability Compatibility Route of administration References pdf
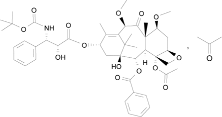
   Chemical structure  

Tradename   Tradename     

Trade names are indicative and excipients composition can be different depending on the country and manufacturers

Cabazil Argentina
Cabazitaxel Denmark, Finland, Germany, Spain
Cecalter Argentina
Jevtana Argentina, Australia, Belgium, Brazil, Canada, Chile, Colombia, Denmark, Ecuador, Finland, France, Germany, Great Britain, Iceland, Italy, Malaysia, Mexico, Norway, Peru, Romania, Slovenia, Spain, Switzerland, Turkey, United States of America
Proazitax Brazil
Xatiza Chile
Zitat Argentina
Stability in solutions   injection   Stability in solutions : Cabazitaxel     
Container Solvent Concentration Temperature Storage Duration of stability References
Glass None 10 mg/ml 4°C Protect from light
28 Day
3804
Level of evidence A

Glass specific solvent 10 mg/ml -20°C Not specified
49 Day
4800
Level of evidence A

partially used vials None 20 mg/ml 25°C Protect from light
28 Day
4761
Level of evidence A

Polyethylene Sodium chloride 0,9% 0,1 >>0,26 mg/ml 25°C Protect from light
28 Day
4761
Level of evidence A

Polyethylene Glucose 5% 0,1 >>0,26 mg/ml 25°C Protect from light
28 Day
4761
Level of evidence A

Polypropylene Sodium chloride 0,9% 0,1 >>0,26 mg/ml 2-8°C Protect from light
28 Day
4761
Level of evidence A

Polypropylene Glucose 5% 0,1 >>0,26 mg/ml 2-8°C Protect from light
28 Day
4761
Level of evidence A

Polyolefine Sodium chloride 0,9% 0,1 mg/ml -20°C Not specified
49 Day
4800
Level of evidence A

Polyolefine Sodium chloride 0,9% 0,1 mg/ml 25°C Not specified
21 Day
4800
Level of evidence A

Polyolefine Sodium chloride 0,9% 0,1 mg/ml 4°C Not specified
21 Day
4800
Level of evidence A

Polyolefine Sodium chloride 0,9% 0,1 >>0,26 mg/ml 25°C Protect from light
28 Day
4761
Level of evidence A

Polyolefine Sodium chloride 0,9% 0,10 >> 0,26 mg/ml 2-8°C Not specified
48 Hour
3237
Manufacturer's stability data

Polyolefine Sodium chloride 0,9% 0,10 >> 0,26 mg/ml 25°C Not specified
8 Hour
3237
Manufacturer's stability data

Polyolefine Sodium chloride 0,9% 0,15 mg/ml 25°C Protect from light
28 Day
3804
Level of evidence A

Polyolefine Sodium chloride 0,9% 0,15 mg/ml 4°C Protect from light
28 Day
3804
Level of evidence A

Polyolefine Sodium chloride 0,9% 0,26 mg/ml -20°C Not specified
49 Day
4800
Level of evidence A

Polyolefine Sodium chloride 0,9% 0,26 mg/ml 25°C Not specified
21 Day
4800
Level of evidence A

Polyolefine Sodium chloride 0,9% 0,26 mg/ml 4°C Not specified
21 Day
4800
Level of evidence A

Polyolefine Glucose 5% 0,1 mg/ml -20°C Not specified
49 Day
4800
Level of evidence A

Polyolefine Glucose 5% 0,1 mg/ml 25°C Not specified
21 Day
4800
Level of evidence A

Polyolefine Glucose 5% 0,1 mg/ml 4°C Not specified
21 Day
4800
Level of evidence A

Polyolefine Glucose 5% 0,1 >>0,26 mg/ml 25°C Protect from light
28 Day
4761
Level of evidence A

Polyolefine Glucose 5% 0,10 >> 0,26 mg/ml 2-8°C Not specified
48 Hour
3237
Manufacturer's stability data

Polyolefine Glucose 5% 0,10 >> 0,26 mg/ml 25°C Not specified
8 Hour
3237
Manufacturer's stability data

Polyolefine Glucose 5% 0,26 mg/ml -20°C Not specified
49 Day
4800
Level of evidence A

Polyolefine Glucose 5% 0,26 mg/ml 25°C Not specified
21 Day
4800
Level of evidence A

Polyolefine Glucose 5% 0,26 mg/ml 4°C Not specified
21 Day
4800
Level of evidence A


  Mentions Légales