Zadnji put ažurirano :
27/04/2026
lijek protiv karcinoma   Cabazitaxel  
injekcija
Stabilizacija rješenja Stabilnost mješavine Stabilizacijski faktor Kompatibilnosti način davanja lijeka Bibliografija pdf
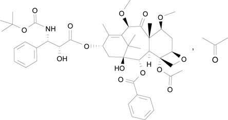
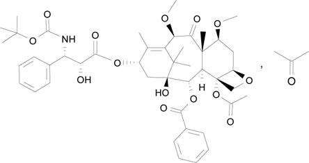
   Kemijska struktura  

Nekomercijalni   Nekomercijalni     

Zaštićeni nazivi su indikativni i sastav ekscipijensa može biti različit ovisno o državi i laboratorijima

Cabazil Argentina
Cabazitaxel Danska, Finska, Njemačka, Španjolska
Cecalter Argentina
Jevtana Argentina, Australija, Belgija, Brazil, Čile, Danska, Ekvador, Finska, Francuska, Hrvatska, Irska, Island, Italija, Kanada, Kolumbija, Luksemburg, Madžarska, Malezija, Meksiko, Njemačka, Norveška, Peru, Rumunjska, S A D, Slovenija, Španjolska, Švedska, Švicarska, Turska, Velika Britanija
Proazitax Brazil
Xatiza Čile, Peru
Zitat Argentina, Kolumbija
Stabilizacija rješenja   injekcija   Stabilizacija rješenja : Cabazitaxel     
Kontejner sredstvo za rastapanje koncentracija temperatura Konzerviranje Trajanje stabilnosti Bibliografija
čaša nijedan 10 mg/ml 4°C Zaštićeno od svjetlosti
28 dan
3804
Razina dokaza A

čaša Specifična otapala 10 mg/ml -20°C nespecifičan
49 dan
4800
Razina dokaza A

djelomično korištene boce nijedan 20 mg/ml 25°C Zaštićeno od svjetlosti
28 dan
4761
Razina dokaza A

polietilen natrijumkorid 0,9% 0,1 >>0,26 mg/ml 25°C Zaštićeno od svjetlosti
28 dan
4761
Razina dokaza A

polietilen glukoza 5% 0,1 >>0,26 mg/ml 25°C Zaštićeno od svjetlosti
28 dan
4761
Razina dokaza A

polipropilen natrijumkorid 0,9% 0,1 >>0,26 mg/ml 2-8°C Zaštićeno od svjetlosti
28 dan
4761
Razina dokaza A

polipropilen glukoza 5% 0,1 >>0,26 mg/ml 2-8°C Zaštićeno od svjetlosti
28 dan
4761
Razina dokaza A

poliolefin natrijumkorid 0,9% 0,1 mg/ml -20°C nespecifičan
49 dan
4800
Razina dokaza A

poliolefin natrijumkorid 0,9% 0,1 mg/ml 25°C nespecifičan
21 dan
4800
Razina dokaza A

poliolefin natrijumkorid 0,9% 0,1 mg/ml 4°C nespecifičan
21 dan
4800
Razina dokaza A

poliolefin natrijumkorid 0,9% 0,1 >>0,26 mg/ml 25°C Zaštićeno od svjetlosti
28 dan
4761
Razina dokaza A

poliolefin natrijumkorid 0,9% 0,10 >> 0,26 mg/ml 2-8°C nespecifičan
48 sat
3237
Podaci proizvođača o stabilnosti

poliolefin natrijumkorid 0,9% 0,10 >> 0,26 mg/ml 25°C nespecifičan
8 sat
3237
Podaci proizvođača o stabilnosti

poliolefin natrijumkorid 0,9% 0,15 mg/ml 25°C Zaštićeno od svjetlosti
28 dan
3804
Razina dokaza A

poliolefin natrijumkorid 0,9% 0,15 mg/ml 4°C Zaštićeno od svjetlosti
28 dan
3804
Razina dokaza A

poliolefin natrijumkorid 0,9% 0,26 mg/ml -20°C nespecifičan
49 dan
4800
Razina dokaza A

poliolefin natrijumkorid 0,9% 0,26 mg/ml 25°C nespecifičan
21 dan
4800
Razina dokaza A

poliolefin natrijumkorid 0,9% 0,26 mg/ml 4°C nespecifičan
21 dan
4800
Razina dokaza A

poliolefin glukoza 5% 0,1 mg/ml -20°C nespecifičan
49 dan
4800
Razina dokaza A

poliolefin glukoza 5% 0,1 mg/ml 25°C nespecifičan
21 dan
4800
Razina dokaza A

poliolefin glukoza 5% 0,1 mg/ml 4°C nespecifičan
21 dan
4800
Razina dokaza A

poliolefin glukoza 5% 0,1 >>0,26 mg/ml 25°C Zaštićeno od svjetlosti
28 dan
4761
Razina dokaza A

poliolefin glukoza 5% 0,10 >> 0,26 mg/ml 2-8°C nespecifičan
48 sat
3237
Podaci proizvođača o stabilnosti

poliolefin glukoza 5% 0,10 >> 0,26 mg/ml 25°C nespecifičan
8 sat
3237
Podaci proizvođača o stabilnosti

poliolefin glukoza 5% 0,26 mg/ml -20°C nespecifičan
49 dan
4800
Razina dokaza A

poliolefin glukoza 5% 0,26 mg/ml 25°C nespecifičan
21 dan
4800
Razina dokaza A

poliolefin glukoza 5% 0,26 mg/ml 4°C nespecifičan
21 dan
4800
Razina dokaza A


  Mentions Légales