zadnja posodobitev :
18/03/2026
rak drog   Cabazitaxel  
Brizgalka
Stabilnost raztopine Stabilnost mešanice Faktorji, ki vplivajo na stabilnost Kompatibilnost način aplikacije Viri pdf
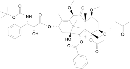
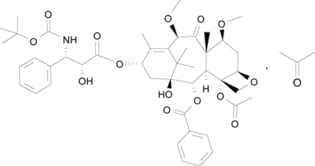
   Kemična formula  

Lastniško ime   Lastniško ime     

Sestava pomožnih snovi je med paralelami lahko različna

Cabazil Argentina
Cabazitaxel Danska, Finska, Nemčija, Španija
Cecalter Argentina
Jevtana Argentina, Avstralija, Belgija, Brazilija, Čile, Danska, Ekvador, Finska, Francija, Islandija, Italija, Kanada, Kolumbija, Malezija, Mehika, Nemčija, Norveška, Peru, Romunija, Slovenija, Španija, Švica, Turčija, Velika Britanija, Združene države Amerike
Proazitax Brazilija
Xatiza Čile
Zitat Argentina
Viri   Brizgalka   Viri : Cabazitaxel  
Tip objava
3237 Traduction Laboratorij Cabazitaxel (Jevtana®) - Résumé des caractéristiques du produit.
Sanofi Aventis France 2011
3804 časopis Lazzarini R, Salvadori S, Trapella C, Guerrini R, Marzola E, Pasini G, Dalpiaz A.
Physicochemical stability of cabazitaxel and docetaxel solutions.
EJHP 2014 ;22:150-155.
4761 časopis D'Huart E, Sacrez M, Vigneron J, Demoré B.
Physicochemical stability of Cabazitaxel Zentiva® solution in vials after opening and diluted- solutions in three infusion bags.
Pharmaceutical Technology in Hospital Pharmacy 2023 ; 8(1): 20220009
4800 poster H Ma N, Law S, Walker S.
Stability of Dr.Reddy’s Cabazitaxel Following Reconstitution with Manufacturer’s Diluent & Dilution with Sodium Chloride and Dextrose 5% in non-PVC non-DEHP bags and Original Glass Vials at 25°C, 4°C and -20°C.
2023

  Mentions Légales