آخر تحديث :
27/01/2026
المضادة للسرطان المخدرات   Cabazitaxel  
حقن
الاستقرار في حلول استقرار مخاليط العوامل التي تؤثر على الاستقرار التوافق طريقة التعاطي مراجع pdf
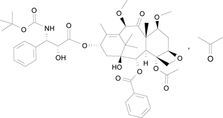
   التركيب الكيميائي  

حجز الاسم التجاري   حجز الاسم التجاري     

تحذير الأسماء التجاريه المختلفه قد تحتوي علي محتوي إضافات مختلفة حسب الدوله و المعمل

Cabazil الأرجنتين
Cabazitaxel ألمانيا, إسبانيا, الدنمارك, فنلندا
Cecalter الأرجنتين
Jevtana أستراليا, ألمانيا, أيسلندا, إسبانيا, إيطاليا, الأرجنتين, الإكوادور, البرازيل, الدنمارك, المكسيك, النرويج, الولايات المتحدة, بريطانيا العظمي, بلجيكا, بيرو, تركيا, تشيلي, رومانيا, سلوفينيا, سويسرا, فرنسا, فنلندا, كندا, كولومبيا, ماليزيا
Proazitax البرازيل
Xatiza تشيلي
Zitat الأرجنتين
الاستقرار في حلول   حقن   الاستقرار في حلول : Cabazitaxel     
حاوية مذيب تركيز درجة الحرارة تخزين مدة الاستقرار مراجع
زجاج لا شيء 10 mg/ml 4°C بعيدا عن الضوء
28 يوم
3804
A مستوى الأدلة

زجاج مذيب معين 10 mg/ml -20°C لم يتم تحديد
49 يوم
4800
A مستوى الأدلة

الزجاجات المستخدمة جزئياً لا شيء 20 mg/ml 25°C بعيدا عن الضوء
28 يوم
4761
A مستوى الأدلة

البولي ايثيلين كلوريد الصوديوم 0.9% 0,1 >>0,26 mg/ml 25°C بعيدا عن الضوء
28 يوم
4761
A مستوى الأدلة

البولي ايثيلين الجلوكوز %5 0,1 >>0,26 mg/ml 25°C بعيدا عن الضوء
28 يوم
4761
A مستوى الأدلة

البولي بروبلين كلوريد الصوديوم 0.9% 0,1 >>0,26 mg/ml 2-8°C بعيدا عن الضوء
28 يوم
4761
A مستوى الأدلة

البولي بروبلين الجلوكوز %5 0,1 >>0,26 mg/ml 2-8°C بعيدا عن الضوء
28 يوم
4761
A مستوى الأدلة

البولي فين كلوريد الصوديوم 0.9% 0,1 mg/ml -20°C لم يتم تحديد
49 يوم
4800
A مستوى الأدلة

البولي فين كلوريد الصوديوم 0.9% 0,1 mg/ml 25°C لم يتم تحديد
21 يوم
4800
A مستوى الأدلة

البولي فين كلوريد الصوديوم 0.9% 0,1 mg/ml 4°C لم يتم تحديد
21 يوم
4800
A مستوى الأدلة

البولي فين كلوريد الصوديوم 0.9% 0,1 >>0,26 mg/ml 25°C بعيدا عن الضوء
28 يوم
4761
A مستوى الأدلة

البولي فين كلوريد الصوديوم 0.9% 0,10 >> 0,26 mg/ml 2-8°C لم يتم تحديد
48 ساعة
3237
بيانات الشركة المصنعة \\ \'ق الاستقرار

البولي فين كلوريد الصوديوم 0.9% 0,10 >> 0,26 mg/ml 25°C لم يتم تحديد
8 ساعة
3237
بيانات الشركة المصنعة \\ \'ق الاستقرار

البولي فين كلوريد الصوديوم 0.9% 0,15 mg/ml 25°C بعيدا عن الضوء
28 يوم
3804
A مستوى الأدلة

البولي فين كلوريد الصوديوم 0.9% 0,15 mg/ml 4°C بعيدا عن الضوء
28 يوم
3804
A مستوى الأدلة

البولي فين كلوريد الصوديوم 0.9% 0,26 mg/ml -20°C لم يتم تحديد
49 يوم
4800
A مستوى الأدلة

البولي فين كلوريد الصوديوم 0.9% 0,26 mg/ml 25°C لم يتم تحديد
21 يوم
4800
A مستوى الأدلة

البولي فين كلوريد الصوديوم 0.9% 0,26 mg/ml 4°C لم يتم تحديد
21 يوم
4800
A مستوى الأدلة

البولي فين الجلوكوز %5 0,1 mg/ml -20°C لم يتم تحديد
49 يوم
4800
A مستوى الأدلة

البولي فين الجلوكوز %5 0,1 mg/ml 25°C لم يتم تحديد
21 يوم
4800
A مستوى الأدلة

البولي فين الجلوكوز %5 0,1 mg/ml 4°C لم يتم تحديد
21 يوم
4800
A مستوى الأدلة

البولي فين الجلوكوز %5 0,1 >>0,26 mg/ml 25°C بعيدا عن الضوء
28 يوم
4761
A مستوى الأدلة

البولي فين الجلوكوز %5 0,10 >> 0,26 mg/ml 2-8°C لم يتم تحديد
48 ساعة
3237
بيانات الشركة المصنعة \\ \'ق الاستقرار

البولي فين الجلوكوز %5 0,10 >> 0,26 mg/ml 25°C لم يتم تحديد
8 ساعة
3237
بيانات الشركة المصنعة \\ \'ق الاستقرار

البولي فين الجلوكوز %5 0,26 mg/ml -20°C لم يتم تحديد
49 يوم
4800
A مستوى الأدلة

البولي فين الجلوكوز %5 0,26 mg/ml 25°C لم يتم تحديد
21 يوم
4800
A مستوى الأدلة

البولي فين الجلوكوز %5 0,26 mg/ml 4°C لم يتم تحديد
21 يوم
4800
A مستوى الأدلة


  Mentions Légales