Seneste opdatering :
27/01/2026
anticancer medicin   Cabazitaxel  
Injektion
Stabilitet i (vandige) opløsninger Stabilitet i blandinger Faktorer der påvirker stabiliteten Kompatibilitet Administrationsvej Bibliografi pdf
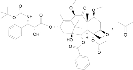
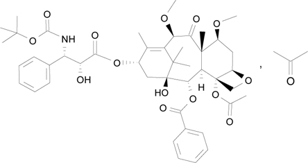
   Kemisk struktur  

Handelsnavn   Handelsnavn     

Handel navne er vejledende og hjælpestoffer sammensætning kan være forskellig afhængigt af landet og laboratorier

Cabazil Argentina
Cabazitaxel Danmark, Finland, Spanien, Tyskland
Cecalter Argentina
Jevtana Argentina, Australien, Belgien, Brasilien, Canada, Chile, Colombia, Danmark, Ecuador, Finland, Frankrig, Island, Italien, Malaysia, Marokko, Mexico, Norge, Rumænien, Schweiz, Slovenien, Spanien, Storbritanien, Tyrkiet, Tyskland, USA
Proazitax Brasilien
Xatiza Chile
Zitat Argentina
Stabilitet i (vandige) opløsninger   Injektion   Stabilitet i (vandige) opløsninger : Cabazitaxel     
Beholder Opløsningsmiddel Koncentration Temperatur Konservering Varighed af stabilitet Bibliografi
Glas Ingen 10 mg/ml 4°C Beskyt mod lys
28 Dag
3804
Level af bevismateriale A

Glas specifikt opløsningsmiddel 10 mg/ml -20°C Ikke nærmere angivet
49 Dag
4800
Level af bevismateriale A

delvist brugte flasker Ingen 20 mg/ml 25°C Beskyt mod lys
28 Dag
4761
Level af bevismateriale A

Polyethylen 0,9 % Natriumklorid 0,1 >>0,26 mg/ml 25°C Beskyt mod lys
28 Dag
4761
Level af bevismateriale A

Polyethylen 5 % Glukose 0,1 >>0,26 mg/ml 25°C Beskyt mod lys
28 Dag
4761
Level af bevismateriale A

Polypropylen 0,9 % Natriumklorid 0,1 >>0,26 mg/ml 2-8°C Beskyt mod lys
28 Dag
4761
Level af bevismateriale A

Polypropylen 5 % Glukose 0,1 >>0,26 mg/ml 2-8°C Beskyt mod lys
28 Dag
4761
Level af bevismateriale A

Polyolefin 0,9 % Natriumklorid 0,1 mg/ml -20°C Ikke nærmere angivet
49 Dag
4800
Level af bevismateriale A

Polyolefin 0,9 % Natriumklorid 0,1 mg/ml 25°C Ikke nærmere angivet
21 Dag
4800
Level af bevismateriale A

Polyolefin 0,9 % Natriumklorid 0,1 mg/ml 4°C Ikke nærmere angivet
21 Dag
4800
Level af bevismateriale A

Polyolefin 0,9 % Natriumklorid 0,1 >>0,26 mg/ml 25°C Beskyt mod lys
28 Dag
4761
Level af bevismateriale A

Polyolefin 0,9 % Natriumklorid 0,10 >> 0,26 mg/ml 2-8°C Ikke nærmere angivet
48 Time
3237
Producentens stabilitet data

Polyolefin 0,9 % Natriumklorid 0,10 >> 0,26 mg/ml 25°C Ikke nærmere angivet
8 Time
3237
Producentens stabilitet data

Polyolefin 0,9 % Natriumklorid 0,15 mg/ml 25°C Beskyt mod lys
28 Dag
3804
Level af bevismateriale A

Polyolefin 0,9 % Natriumklorid 0,15 mg/ml 4°C Beskyt mod lys
28 Dag
3804
Level af bevismateriale A

Polyolefin 0,9 % Natriumklorid 0,26 mg/ml -20°C Ikke nærmere angivet
49 Dag
4800
Level af bevismateriale A

Polyolefin 0,9 % Natriumklorid 0,26 mg/ml 25°C Ikke nærmere angivet
21 Dag
4800
Level af bevismateriale A

Polyolefin 0,9 % Natriumklorid 0,26 mg/ml 4°C Ikke nærmere angivet
21 Dag
4800
Level af bevismateriale A

Polyolefin 5 % Glukose 0,1 mg/ml -20°C Ikke nærmere angivet
49 Dag
4800
Level af bevismateriale A

Polyolefin 5 % Glukose 0,1 mg/ml 25°C Ikke nærmere angivet
21 Dag
4800
Level af bevismateriale A

Polyolefin 5 % Glukose 0,1 mg/ml 4°C Ikke nærmere angivet
21 Dag
4800
Level af bevismateriale A

Polyolefin 5 % Glukose 0,1 >>0,26 mg/ml 25°C Beskyt mod lys
28 Dag
4761
Level af bevismateriale A

Polyolefin 5 % Glukose 0,10 >> 0,26 mg/ml 2-8°C Ikke nærmere angivet
48 Time
3237
Producentens stabilitet data

Polyolefin 5 % Glukose 0,10 >> 0,26 mg/ml 25°C Ikke nærmere angivet
8 Time
3237
Producentens stabilitet data

Polyolefin 5 % Glukose 0,26 mg/ml -20°C Ikke nærmere angivet
49 Dag
4800
Level af bevismateriale A

Polyolefin 5 % Glukose 0,26 mg/ml 25°C Ikke nærmere angivet
21 Dag
4800
Level af bevismateriale A

Polyolefin 5 % Glukose 0,26 mg/ml 4°C Ikke nærmere angivet
21 Dag
4800
Level af bevismateriale A


  Mentions Légales