Posledná aktualizácia :
27/01/2026
Protinádorová liečba   Cabazitaxel  
Injekcia
Stabilita roztokov Stabilita v zmesiach Faktory ovplyvňujúce stabilitu Kompatibility spôsob podania Odkazy na literatúru PDF
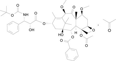
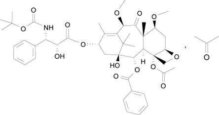
   Chemický vzorec  

Obchodný názov   Obchodný názov     

Obchodné názvy sú orientačné, a zloženie pomocných látok sa môže líšiť v závislosti od krajiny a výrobcu.

Cabazil Argentína
Cabazitaxel Dánsko, Fínsko, Nemecko, Španielsko
Cecalter Argentína
Jevtana Argentína, Austrália, Belgicko, Brazília, Čile, Dánsko, Ekvádor, Fínsko, Francúzsko, Island, Kanada, Kolumbia, Malajzia, Mexiko, Nemecko, Nórsko, peru, Rumunsko, Slovinsko, Španielsko, Spojené štáty Americké, Švajčiarsko, Taliansko, Turecko, Veľká Británia
Proazitax Brazília
Xatiza Čile
Zitat Argentína
Stabilita roztokov   Injekcia   Stabilita roztokov : Cabazitaxel     
obal rozpúšťadlo koncentrácia teplota uchovávanie Trvanie stability odkazy na lieteratúru
Sklo Žiadny 10 mg/ml 4°C Chránené pred svetlom
28 dní
3804
Úroveň dôkazov A

Sklo Špeciálne rozpúšťadlá 10 mg/ml -20°C nešpecifikované
49 dní
4800
Úroveň dôkazov A

iastočne použité injekčné liekovky Žiadny 20 mg/ml 25°C Chránené pred svetlom
28 dní
4761
Úroveň dôkazov A

polyetylén 0,9% chlorid sodný 0,1 >>0,26 mg/ml 25°C Chránené pred svetlom
28 dní
4761
Úroveň dôkazov A

polyetylén 5% glukóza 0,1 >>0,26 mg/ml 25°C Chránené pred svetlom
28 dní
4761
Úroveň dôkazov A

polypropylén 0,9% chlorid sodný 0,1 >>0,26 mg/ml 2-8°C Chránené pred svetlom
28 dní
4761
Úroveň dôkazov A

polypropylén 5% glukóza 0,1 >>0,26 mg/ml 2-8°C Chránené pred svetlom
28 dní
4761
Úroveň dôkazov A

polyolefín 0,9% chlorid sodný 0,1 mg/ml -20°C nešpecifikované
49 dní
4800
Úroveň dôkazov A

polyolefín 0,9% chlorid sodný 0,1 mg/ml 25°C nešpecifikované
21 dní
4800
Úroveň dôkazov A

polyolefín 0,9% chlorid sodný 0,1 mg/ml 4°C nešpecifikované
21 dní
4800
Úroveň dôkazov A

polyolefín 0,9% chlorid sodný 0,1 >>0,26 mg/ml 25°C Chránené pred svetlom
28 dní
4761
Úroveň dôkazov A

polyolefín 0,9% chlorid sodný 0,10 >> 0,26 mg/ml 2-8°C nešpecifikované
48 hodín
3237
Údaje o stabilite od výrobcu

polyolefín 0,9% chlorid sodný 0,10 >> 0,26 mg/ml 25°C nešpecifikované
8 hodín
3237
Údaje o stabilite od výrobcu

polyolefín 0,9% chlorid sodný 0,15 mg/ml 25°C Chránené pred svetlom
28 dní
3804
Úroveň dôkazov A

polyolefín 0,9% chlorid sodný 0,15 mg/ml 4°C Chránené pred svetlom
28 dní
3804
Úroveň dôkazov A

polyolefín 0,9% chlorid sodný 0,26 mg/ml -20°C nešpecifikované
49 dní
4800
Úroveň dôkazov A

polyolefín 0,9% chlorid sodný 0,26 mg/ml 25°C nešpecifikované
21 dní
4800
Úroveň dôkazov A

polyolefín 0,9% chlorid sodný 0,26 mg/ml 4°C nešpecifikované
21 dní
4800
Úroveň dôkazov A

polyolefín 5% glukóza 0,1 mg/ml -20°C nešpecifikované
49 dní
4800
Úroveň dôkazov A

polyolefín 5% glukóza 0,1 mg/ml 25°C nešpecifikované
21 dní
4800
Úroveň dôkazov A

polyolefín 5% glukóza 0,1 mg/ml 4°C nešpecifikované
21 dní
4800
Úroveň dôkazov A

polyolefín 5% glukóza 0,1 >>0,26 mg/ml 25°C Chránené pred svetlom
28 dní
4761
Úroveň dôkazov A

polyolefín 5% glukóza 0,10 >> 0,26 mg/ml 2-8°C nešpecifikované
48 hodín
3237
Údaje o stabilite od výrobcu

polyolefín 5% glukóza 0,10 >> 0,26 mg/ml 25°C nešpecifikované
8 hodín
3237
Údaje o stabilite od výrobcu

polyolefín 5% glukóza 0,26 mg/ml -20°C nešpecifikované
49 dní
4800
Úroveň dôkazov A

polyolefín 5% glukóza 0,26 mg/ml 25°C nešpecifikované
21 dní
4800
Úroveň dôkazov A

polyolefín 5% glukóza 0,26 mg/ml 4°C nešpecifikované
21 dní
4800
Úroveň dôkazov A


  Mentions Légales